В статье рассмотрены основные методы определения параметров прочности на сдвиг скальных грунтов – сцепления и угла внутреннего трения, которые необходимы при решении многих инженерно-геологических задач, например, расчетах устойчивости склонов различной природы, откосов и бортов карьеров, проектировании гидротехнических сооружений и пр. В зависимости от решаемой задачи определение сдвиговых характеристик может быть проведено на образцах ненарушенной породы, по поверхностям ослабления или для скального массива. В статье описаны три разных метода определения прочности на сдвиг и получения предельной огибающей на стандартных образцах скальных грунтов. На примере известняков Московского региона проведено сопоставление результатов, полученных разными методами. Рассмотрены основные методы определения сдвиговых характеристик по трещине и приведены результаты выполненных экспериментов на срез по трещине для метавулканитов одного из месторождений Дальневосточного региона. Показана тенденция изменения сцепления и угла внутреннего трения в зависимости от величины нормального напряжения, а соответственно, и от глубины отбора образца. Cравнение сдвиговых характеристик метавулканитов, полученных при испытании стандартных образцов и трещин, показало отличие в величинах сцепления на 2-3 порядка значений. Рассмотрены основные методы определения прочности на сдвиг для массивов скальных грунтов. Приведен пример получения предельной огибающей и расчета сцепления и угла внутреннего трения по модели Хоека-Брауна для массива метавулканитов. Показана зависимость сдвиговых характеристик скального массива от величины действующих напряжений.
При решении многих инженерно-геологических задач, в частности для расчетов устойчивости склонов, откосов, бортов карьеров, необходимы параметры прочности на сдвиг – сцепление (С) и угол внутреннего трения (φ) [6]. Традиционно они определяются по закону Кулона, который предполагает линейную зависимость между касательными и нормальными напряжениями:
τ=σn•tg φ+C,
где τ – касательное напряжение, σn – нормальное напряжение, φ – угол внутреннего трения, С – сцепление
Однако линейная форма зависимости является лишь частным случаем, тогда как в общем случае данная зависимость имеет нелинейный характер. Соответственно, сдвиговые характеристики не являются константами, а зависят от величин напряжений, при которых они определяются: чем выше напряжения, тем больше сцепление и меньше угол внутреннего трения. Тенденция изменения параметров прочности на сдвиг в зависимости от нормальных напряжений наглядно показана на рис.1, заимствованном из работы Э. Хоека и Э.Т. Брауна (1980) [17].
Рис. 1. Тенденции изменения сцепления и угла внутреннего трения ц в зависимости от величины нормального напряжения [17]
Сложность определения сдвиговых характеристик скальных грунтов заключается не только в нелинейном характере предельной огибающей, но также и в том, что ее форма и степень нелинейности различны у разных типов грунтов. Другая проблема заключается в том, что массивы скальных грунтов находятся в напряженном состоянии вследствие воздействия гравитационных сил, которые на больших глубинах могут достигать значительных величин (например, при строительстве подземных сооружений – горных выработок, тоннелей, хранилищ и пр.), а также тектонических сил, характерных для горно-складчатых областей. Соответственно, это необходимо учитывать при определении прочности на сдвиг.
В зависимости от решаемой задачи определения параметров прочности на сдвиг могут быть проведены на образцах ненарушенной породы, по трещине или для скального массива.
Существует три основных способа определения сдвиговых характеристик образцов скальных грунтов [4, 10]: (1) построение паспорта прочности по данным прочности на одноосное сжатие (Rc) и растяжение (Rp); (2) срез со сжатием; (3) объемное сжатие.
Построение предельной огибающей по данным определения прочности на одноосное сжатие (Rc) и растяжение (Rp) является наиболее простым и частно используемым методом. Он заключается в том, что в координатах касательные (τ) — нормальные (σn) напряжения строятся предельные круги Мора, соответствующие прочности на одноосное сжатие [2] и растяжение [3], и к ним проводится огибающая – либо линейная в виде касательной к кругам, либо нелинейная, с использованием эмпирического уравнения, указанного в [4] (рис.2). Преимуществом данного метода является то, что он не требует специального оборудования, кроме пресса. Однако его можно применять для определения сдвиговых характеристик лишь при небольших давлениях, тогда как в области высоких напряжений можно ожидать большой погрешности и расхождения результатов с реальными величинами.
Рис. 2. Паспорт прочности скального грунта, построенный по данным определения прочности на одноосное сжатие (Rc) и растяжение (Rp)
Срез со сжатием, являющийся еще одним способом получения предельной огибающей и определения сдвиговых характеристик, предполагает наличие специального устройства [5] (рис.3). Авторы проводили испытания при помощи устройства, разработанного и сконструированного И.Е. Большаковым согласно ГОСТ 21153.5-88 [5]. Метод заключается в разрушении образца по заданной плоскости среза при приложении к нему сжимающей вертикальной нагрузки. В комплект испытательного устройства входит от трех до пяти пар разъемных матриц (верхняя и нижняя) с вкладышами-обоймами для фиксирования образца. Зазор между верхней и нижней частями матриц расположен под разными углами по отношению к вертикали (обычно 25°, 35°, 45°, 55°, 65°). Нижняя матрица помещается на специальную подвижную платформу с шарнирным устройством. Собранное испытательное устройство с помещенным в него образцом скального грунта устанавливается в испытательную машину (пресс), где через стальные плиты к нему прикладывается сжимающая нагрузка. При достижении критической величины нагрузки происходит срез образца по заданной плоскости между обоймами. По результатам испытания рассчитывают нормальное σn и касательное τ напряжения, действующие в плоскости среза:
σn= cosα•P/S,
τ=sinα•P/S,
где Р – разрушающее усилие, S – площадь среза, α – угол наклона плоскости среза к направлению внешнего усилия
Рис.3. Построение предельной огибающей по результатам среза со сжатием
Проводят серию испытаний (минимум три) образца на срез под разными углами. По результатам опытов строят предельную огибающую τ=f(σn), по которой определяют сцепление и угол внутреннего трения. Паспорт прочности, полученный по результатам среза со сжатием, можно дополнить кругами Мора, построенными по данным Rc и Rp (см. рис.3) [4].
Объемное сжатие является наиболее точным, но и наиболее трудоемким методом определения С и φ. Он предполагает наличие специальной камеры для объемного сжатия [4, 10]. Его преимуществом является то, что он позволяет получить сдвиговые характеристики в условиях, максимально приближенных к естественным, в том числе и при высоких давлениях. Для получения предельной огибающей необходимо провести не менее трех испытаний в специальной камере для объемного сжатия при разных боковых давлениях по схеме σ1> σ2=σ3. По результатам нескольких испытаний в координатах τ—σn строится серия предельных кругов Мора, к которым проводится огибающая. Полученный по результатам объемного сжатия паспорт прочности можно дополнить кругами Мора, построенными по данным одноосного сжатия и растяжения.
Сравнение результатов определения сдвиговых характеристик разными методами на примере известняков
Для известняков Московского региона (С2 mč) проведена серия испытаний по определению сдвиговых характеристик с использованием трех вышеописанных методов. Известняки без примесей, относительно однородные, мелкозернистые, тонкопористые, с плотностью 1,95-2,02 г/см3 и пористостью 25-30%. На рисунке 4 представлен пример наиболее типичных результатов, полученных тремя методами.
Рис. 4. Предельные огибающие, построенные по данным испытаний образцов известняка тремя разными методами
Предельные огибающие, построенные по результатам первых двух методов практически совпадают, тогда как огибающая, характеризующая объемное сжатие, проходит значительно выше и под большим углом. Чтобы объяснить выявленную закономерность необходимо провести дополнительные эксперименты, в том числе при объемном сжатии с более высокими величинами бокового давления.
Все массивы горных пород содержат неоднородности в виде поверхностей напластования, ослабленных зон контактов, трещин различной природы, разрывных нарушений с зеркалами скольжения и иных, и в ряде случаев устойчивость склона определяется не прочностью самих пород, а прочностью по поверхностям ослабления [6, 9]. К неблагоприятным сценариям относятся случаи, когда слои или трещины падают в направлении склона и поверхность скольжения может частично или полностью совпадать с поверхностью ослабления. В этих случаях при расчетах устойчивости склонов необходимо знать параметры прочности на сдвиг по трещине.
Методы определения сдвиговых характеристик по трещине делятся на экспериментальные (полевые и лабораторные) и расчетные эмпирические.
Среди экспериментальных методов используются: (1) крупномасштабные полевые опыты in situ по срезу больших целиков с трещиной в основании (уникальные, трудоемкие, дорогие); (2) лабораторные испытания образца с трещиной (естественной или модельной) в приборе плоскостного среза [8, 9, 13]; (3) лабораторные трехосные испытания образца с трещиной [8].
Среди расчетных методов применяются различные эмпирические уравнения, позволяющие оценить прочность трещины на сдвиг с учетом морфологических особенностей поверхности, геометрических размеров, наличия и типа заполнителя, прочности стенок и иных факторов [1, 9, 14, 20]. Одним из наиболее известных является уравнение Н. Бартона (1985) [14]:
Рис. 5. Процедура проведения и обработки результатов испытания на срез по трещине
По итогам трех опытов при различных нормальных нагрузках строился график зависимости касательных напряжений от нормальных (рис. 8) в виде аппроксимирующей прямой, по которой вычислялись сцепление и угол внутреннего трения для исследованной трещины.
На рисунке 6 представлены диаграммы сдвига для исследованных трещин.
Рис. 6. Графики зависимости касательных напряжений от нормальных, полученные по данным испытаний на срез по трещине для метавулканитов
Выполненные испытания на срез по трещине показали изменчивость показателей С и φ в зависимости от величины нормальной нагрузки и, соответственно, от глубины отбора образца (рис. 7). Величина сцепления в целом повышается с увеличением глубины, однако на кривой (рис. 7 а, в) выделяются два участка, что в целом соответствует идеализированной модели сдвига по трещине с регулярной макрошероховатой поверхностью пилообразного типа (рис. 8) [9, 21]. Первый участок пологий, он отражает минимальные значения сцепления при низких величинах нормального напряжения (рис. 7 а, в). На этом этапе происходит сдвиг по поверхности имеющихся макровыступов и неровностей, за счет чего угол внутреннего трения увеличивается на величину, равную углу неровности (зубца) (рис. 8 б). При этом если микрошероховатость отсутствует, то есть поверхности гладкие, то сцепления между ними практически нет. При увеличении нормальной нагрузки начинается сдвиг с разрушением и срезом зубцов, при этом угол внутреннего трения снижается, но появляется сцепление за счет сопротивления зубцов (рис. 8 в). Угол внутреннего трения снижается с увеличением нормальной нагрузки (рис. 7 б, г).
Рис. 7. Зависимость сцепления и угла внутреннего трения по поверхности трещины от глубины отбора образца: а, б – первая система трещин; в, г – вторая система трещин
Рис. 8. Идеализированная модель среза по шероховатой трещине [8]: а – предельная огибающая, б – срез при низких величинах нормальной нагрузки по зубцам шероховатостей, в – срез при высоких величинах нормальной нагрузки с разрушением неровностей на поверхности трещины
Таким образом, при определении сдвиговых характеристик по трещине необходимо учитывать их зависимость от нормальной нагрузки и выбирать величины последней с учетом глубины интересующего интервала.
Сравнение сдвиговых характеристик, определенных для образцов и по трещинам показали, что в первом случае сцепление выше на 2-3 порядка значений (Сср = 11 МПа у образца и Сср = 0,07-0,28 МПа по трещинам). Угол внутреннего трения также выше у образцов, но разница не столь существенна (φcр= 53° у образцов, φcр= 42-50° по трещинам). Следует отметить, что параметры прочности на сдвиг по трещинам зависят от многих факторов, и в первую очередь от морфологии стенок, геометрических размеров, выветрелости, заполнителя, наличия воды. Влияние перечисленных факторов на сдвиговые характеристики требует отдельного анализа.
В инженерной геологии во многих случаях при решении практических задач требуется изучение и оценка горных пород в естественных условиях, для которых характерна изменчивость состава, строения и состояния, наличие различного рода неоднородностей (выветрелости, трещиноватости, сланцеватости и т.д.), а также анизотропия физико-механических свойств. При этом традиционный подход к изучению грунтов – разностороннее исследование отобранных образцов не обеспечивает полноты оценки состояния и характеристик скальных массивов [7, 11, 12]. Вместе с тем, оценка прочностных свойств скальных массивов является весьма сложной, неоднозначной и трудоемкой задачей. Традиционно применяются три группы методов: (1) полевые крупномасштабные испытания in situ; (2) косвенные методы, позволяющее осуществлять переход от свойств образца к свойствам массива на основе сочетания геологических, лабораторных инженерно-геологических и геофизических данных; (3) эмпирические геомеханические классификации и критерии прочности, основанные на учете свойств грунта и некоторых параметров массива, в наибольшей степени влияющих на его свойства (трещиноватость, обводненность, НДС и др.).
Расчет сдвиговых характеристик массива метавулканитов с использованием эмпирического критерия прочности Хоека-Брауна (Hoek-Brown failure criterion)
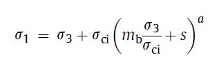
В настоящее время для оценки свойств скальных массивов широко используется эмпирический критерий прочности, предложенный Э. Хоеком и Э. Брауном [17, 18]. Он является развитием критерия прочности Кулона-Мора. Усовершенствование заключается в нелинейной форме предельной огибающей, которая в большей степени соответствует реальному деформированию скального грунта, особенно в области высоких напряжений. Предложенная методика оценки прочностных свойств скального массива основана на многолетнем анализе большого количества экспериментальных данных, полученных как при лабораторных испытаниях, так и при крупномасштабных полевых опытах. В модель Хоека-Брауна входят две группы параметров: 1) показатели, характеризующие прочностные свойства образца скального грунта – прочность на одноосное сжатие образца (σci) и эмпирический коэффициент, отражающий степень взаимного зацепления минеральных частиц ненарушенного скального грунта и влияющий на степень нелинейности предельной огибающей Хоека-Брауна (mi); 2) параметры, характеризующие нарушенность скального массива – геологический индекс прочности (GSI) и показатель техногенной нарушенности массива (D) [17, 18].
Обобщенный критерий Хоека-Брауна для трещиноватых массивов имеет вид:
Рис. 9. Предельная огибающая Хоека-Брауна, полученная для массива метавулканитов
Таблица. Зависимость значений С и φ массива метавулканитов от величины нормального напряжения

Вычисленные для массива величины сцепления примерно на порядок меньше, чем сцепление, характерное для образцов ненарушенной породы (Сср = 11 МПа).
Обобщение научно-практической и методической литературы по вопросу сопротивления скальных грунтов сдвигу, и проведенные эксперименты и расчеты для конкретных объектов, позволили сделать следующие выводы.
1. В зависимости от особенностей исследуемого массива и решаемой задачи инженер-геолог должен четко представлять, для какого объекта следует определять параметры прочности на сдвиг – для образца, поверхностей ослабления (трещин) или скального массива.
2. Важным вопросом является рациональный выбор и научное обоснование методики определения показателей сопротивления сдвигу. Это могут быть как прямые испытания (полевые или лабораторные), так и расчетные способы и эмпирические уравнения, у каждого метода есть свои преимущества и недостатки.
3. При выборе значений сдвиговых характеристик (С, φ), которые будут использоваться в расчетах, необходимо учитывать нелинейность предельной огибающей и, соответственно, их зависимость от интервала напряжений, для которого они определяются.