Предлагаем вниманию читателей немного сокращенный адаптированный перевод статьи китайских исследователей «Анализ влияния строительства и осушения глубокого котлована на осадки поверхности» (Li et al., 2020). Эта работа была опубликована в рецензируемом журнале Advances in Civil Engineering («Достижения в области гражданского строительства») издательством Hindawi в 2020 году. Она находится в открытом доступе по лицензии CC BY, которая позволяет распространять, переводить, адаптировать и дополнять ее при условии указания типов изменений и ссылки на первоисточник. В нашем случае полная ссылка на источник для представленного перевода (Li et al., 2020) приведена в конце.
Точное прогнозирование осадок дневной поверхности является первоочередной задачей при создании глубоких котлованов с выемкой грунта ниже уровня грунтовых вод в городских условиях в целях обеспечения безопасности рабочей площадки. Деформации отложений происходят в результате совокупного действия двух факторов – откопки глубокого котлована и его осушения. Исследование, представленное в настоящей статье, было направлено на выявление суммарной реакции грунта на воздействие этих двух факторов и на получение эмпирических корреляций для оценки деформаций грунта.
На примере глубокого котлована для строительства станции метро были выполнены расчеты по аналитическим формулам и численным моделям для оценки осадок поверхности. Результаты расчетов по аналитическим формулам в условиях выемки грунта и водопонижения складывались линейно для оценки общих осадок. И были построены суммарные трехмерные численные модели с использованием коммерческого программного обеспечения (GMS и MIDAS) для исследований влияния совместного воздействия выемки грунта и осушения на деформации отложений. Результаты этого численного моделирования хорошо совпали с данными мониторинга. Кроме того, чтобы проиллюстрировать влияние выемки грунта и водопонижения на общую осадку поверхности, с помощью полиномиальной аппроксимации было получено эмпирическое корреляционное уравнение.
В условиях постоянного развития городов неизбежно строительство сооружений, сильно заглубленных ниже уровня грунтовых вод. Из-за влияния грунтовых вод осушение котлована становится вспомогательным проектом, который необходимо реализовать в процессе выемки грунта с большой глубины. При этом очень большой проблемой в городских условиях являются деформации окружающих грунтов с соответствующим воздействием на соседние здания и сооружения [1–5]. Ошибочные оценки этих деформаций могут привести либо к слишком большим затратам на строительство из-за чрезмерно усиленных систем крепления выемок, либо к повреждению окружающих зданий и сооружений из-за недостаточно усиленных систем крепления. На прогнозируемые деформации значительное влияние оказывают такие факторы, как метод строительства, водопонижение и тип вмещающих грунтов [6, 7].
Большинство основных теорий об осадках, вызванных выемкой грунта, основано на методе полного напряжения, предложенном Пеком (Peck
), с использованием аппроксимации огромного количества кривых по данным полевого мониторинга [8–11]. Мониторинг показывает, что результаты расчетов занижают фактические осадки. Различия между измеренными деформациями грунта и теоретическими прогнозами можно отнести к эффекту водопонижения. Процесс осушения может привести к снижению давления в водоносных горизонтах, что вызовет изменения эффективных напряжений. Когда из водоносного горизонта извлекается вода, эффективные напряжения в слагающем его грунте увеличиваются, вызывая оседание поверхности земли [12–15].
При исследованиях вертикальных деформаций грунта были достигнуты значительные результаты. Было выявлено, что основными факторами, вызывающими оседание, являются откопка и осушение котлована [16–18]. На основе линейной суперпозиции осадок, вызванных выемкой грунта и водопонижением, можно легко получить общую осадку поверхности, но при этом игнорируется взаимодействие между снятием напряжений при откопке котлована и падением уровня грунтовых вод при осушении.
В данной работе исследуются осадки поверхности в ответ на выемку грунта и водопонижение на примере создания глубокого котлована для строительства станции метро. Суммарные осадки в условиях откопки и осушения котлована рассчитывались по аналитическим формулам с использованием принципа линейной суперпозиции. Также с помощью коммерческого программного обеспечения (GMS и MIDAS) были созданы совокупные трехмерные численные модели для определения воздействий выемки и осушения на уровень грунтовых вод, эффективные напряжения и смещения. Затем спрогнозированные этими двумя путями осадки грунта были сопоставлены с данными реальных измерений при мониторинге, чтобы проверить достоверность результатов использования вышеуказанных расчетных методов.
Описание проекта
Рассматриваемый в статье котлован размером 120 м x 15 м x 22,4 м (длина x ширина x глубина) для строительства станции метро в городских условиях располагается в центральной части Китая. Западную и южную его стороны огибает река при минимальном расстоянии до нее 24 м. Основная конструкция шахты для опускания узлов тоннелепроходческого щита находится всего в 4,5 м от берега реки. На северо-западной стороне котлована располагается гостиница с условным названием «Здание 1». Ее главный корпус имеет 29 этажей, а минимальное расстояние от котлована до ее 5-этажного корпуса со свайным фундаментом составляет 10,7 м. С юго-восточной стороны от строительной площадки имеется 18-этажный торговый центр со свайным фундаментом под условным названием «Здание 2». Его минимальное расстояние от котлована – 10 м. С северо-восточной стороны находится 6-этажное «Здание 3». Расположение и план строительной площадки и окружающей территории показаны на рисунке 1.
Рис. 1. Расположение и план строительной площадки и окружающей территории
Котлован для строительства станции метро в основном расположен в толще аллювиально-делювиальной пылеватой глины, пылеватого грунта и мелкого пылеватого песка с низкой устойчивостью. В слое мелкого пылеватого песка имеется возможность разжижения, что оказывает определенное влияние на рабочий процесс. Детальный геологический профиль строительной площадки показан на рисунке 2.
Рис. 2. Детальная геологическая колонка по данным одной из скважин на строительной площадке. УГВ – уровень грунтовых вод. (Далее в таблице 2 авторы не привели слой мелкого пылеватого песка, указанный на рисунке 2; возможно, его объединили со слоем пылеватого грунта. – Ред.)
Процесс откопки глубокого котлована был разделен на пять этапов – I,
II, III, IV, V при толщине вынутого грунта соответственно 1,4; 2,7; 4,5; 6,4; 7,4 м и высотных отметках дна соответственно 24,1; 21,4; 16,9; 10,6; 3,2 м. Первоначальный уровень грунтовых вод составлял 23 м. Отметим, что на этапе I водопонижение не требовалось, поскольку дно находилось выше УГВ. Процесс осушения котлована начался с этапа II и был разделен на четыре стадии в соответствии с этапами выемки II, III, IV и V.
Мониторинг осадок
Перед началом откопки вытянутого котлована были выполнены насосные скважины для искусственного водопонижения параллельно его более длинным бортам. Чтобы осадки поверхности окружающего грунта и УГВ соответствовали требованиям к выполнению проектных технических условий, между соседними насосными скважинами по всей длине котлована были установлены измерители уровня воды со стальной линейкой (SWJ-90-50).
Для измерения осадок поверхности земли вдоль продолжения поперечной осевой линии котлована были установлены цифровые нивелиры Trimble DiNi03 с горизонтальным шагом 5 м (таблица 1). Одновременно проводились определения осадок для зданий 1, 2 и 3.
План расположения точек измерений приведен на рисунке 3.
Таблица 1. Оборудование для мониторинга осадок
Рис. 3. План расположения точек мониторинга
На строительной площадке и рядом с ней было много точек мониторинга осадок. Чтобы графически продемонстрировать воздействие процесса выемки грунта при строительстве котлована на деформации окружающего грунта, были выбраны точки DB-1, JCJ-6, JCJ-9 и JCJ-15. На рисунке 4 показано, как увеличивались осадки этих точек с течением времени. Оседание ближайшей к котловану точки (DB-1) было наибольшим. Мониторинг трех других точек (JCJ-6, JCJ-9, JCJ-15) показал схожие тенденции в развитии осадок, но они были меньше из-за большей удаленности от котлована.
Рис. 4. Развитие осадок поверхности в точках мониторинга DB-1, JCJ-6, JCJ-9 и JCJ-15 (см. рис. 3) с начала выемки грунта
Оценка осадок по аналитическим формулам
При откопке глубокого котлована ниже уровня грунтовых вод необходимо понизить УГВ так, чтобы он был на 0,5 м ниже дна, в целях предотвращения обрушения бортов или подтопления/затопления выемки.
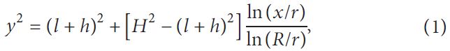
При водопонижении образуется депрессионная воронка, которая приводит к снижению давления грунтовых вод и увеличению эффективных напряжений между частицами грунта. В процессе осушения котлована грунтовые воды медленно движутся к каждой насосной скважине в ламинарном потоке, при этом кривая депрессии распределена симметрично вокруг этой скважины (депрессионная воронка представляет собой приблизительную поверхность вращения кривой депрессии вокруг оси водопонизительной скважины. – Ред.). На основе формулы Дюпюи можно получить уравнение кривой депрессии [19]:
Рис. 5. Результаты теоретических расчетов осадок поверхности по аналитическим формулам
Оценки осадок с помощью численных моделей
С использованием коммерческого программного обеспечения (GMS и MIDAS) были созданы трехмерные численные модели для исследований совместного влияния откопки котлована и водопонижения на деформации грунтов (рис. 6). Были приняты значения параметров отложений, указанные в таблице 2. Отметим, что ширина реки составляет примерно 30–80 м, глубина – около 5–6 м.
Рис. 6. Объединение численных моделей
На рисунке 7 показаны изменения УГВ после каждого этапа водопонижения. В процессе осушения уровень грунтовых вод распределялся в форме несимметричной воронки с самой глубокой частью в форме колодца под котлованом и рядом с ним. Чем больше расстояние от котлована, тем меньше понижение УГВ (рис. 8).
Рис. 7. Изолинии УГВ после этапов водопонижения: а – первого; б – второго; в – третьего; г – четвертого
Рис. 8. Вертикальный разрез УГВ (проходящий через среднюю часть котлована поперек его длинной оси) после четвертого этапа водопонижения
На рисунке 9 показаны смоделированные осадки поверхности на каждом этапе откопки котлована в зависимости от горизонтального расстояния от него. К концу первого этапа глубина выемки составляет 1,4 м, а строительство системы крепления бортов в это время еще не завершено. Из-за разгрузки от собственного веса грунта основание котлована приподнято. Кривая осадок имеет форму ложки. Осадки возрастают с удалением от котлована вплоть до расстояния 8 м, но при дальнейшем увеличении расстояния они уменьшаются. Суммарная осадка после пяти этапов выемки грунта достигает максимума на пятом этапе и составляет 26,1 мм.
Рис. 9. Кривые зависимости осадок от расстояния до котлована по результатам численного моделирования
На рисунке 10 сопоставлены осадки, оцененные с помощью расчетов (по аналитическим формулам и численным моделям) и измеренные при мониторинге. Видно, что результаты моделирования, полученные на основе модели взаимодействий «жидкость – твердое тело», лучше согласуются с данными мониторинга, чем результаты аналитических расчетов. Это показало, что вычисленные осадки поверхности при выемке грунта и водопонижении не могут быть просто линейно сложены. Ведь по мере падения УГВ эффективные напряжения увеличивались, что изменяло пористость грунта и влияло на условия движения воды. Однако при использовании метода аналитических расчетов осадки, вызванные откопкой и осушением котлована, складывались напрямую без учета взаимодействий «вода – грунт», что привело к завышению осадок по сравнению с достоверными данными мониторинга.
Рис. 10. Сопоставление осадок, полученных разными методами
В данной работе для прогноза осадок поверхности под воздействием откопки и осушения глубокого котлована для строительства станции метро использовались аналитические формулы и численные модели. На основе полученных результатов можно сделать следующие выводы.
1. Распределение осадок поверхности, вызванных выемкой грунта, в зависимости от расстояния до котлована, имеет форму ложки, глубина которой пропорциональна общей глубине выемки (см. рис. 3, 9). На расстоянии 6,1 м осадка достигает максимального значения, равного 26,1 мм. Результаты аналитических расчетов показали, что осадки в основном вызваны водопонижением. По мере увеличения расстояния до котлована изменения эффективных напряжений в толще грунта при падении УГВ становятся меньше, что уменьшает влияние осушения на вертикальные деформации отложений.
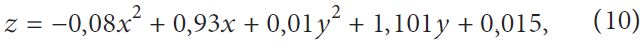
2. Результаты численного моделирования, полученные на основе модели взаимодействий «жидкость – твердое тело», лучше соответствуют данным мониторинга, чем результаты аналитических расчетов. Отсюда можно заключить, что вертикальные деформации отложений под воздействием откопки и осушения котлована не могут быть просто линейно сложены. Поэтому, чтобы проиллюстрировать вклады воздействий выемки грунта и водопонижения в общую осадку поверхности (рис. 11), было получено эмпирическое корреляционное уравнение с помощью полиномиальной аппроксимации. Эта общая осадка быть выражена через осадки в результате откопки котлована и в результате его осушения следующим образом:
Рис. 11. Графики корреляций осадок, вызванных водопонижением (а) и вызванных выемкой грунта (б), с общей осадкой поверхности (иллюстрация вкладов воздействий откопки и осушения котлована в общую осадку поверхности)
Значение коэффициента детерминации R2 после такого вычисления составляет 0,999, поэтому уравнение (10) можно считать точным.
—
Это исследование было профинансировано Национальным фондом естественных наук Китая (51774107, 42077249), Открытой программой Государственной ключевой лаборатории взрывотехники при Пекинском технологическом институте (KFJJ19-02M) и фондами фундаментальных исследований Департамента жилищного строительства провинции Аньхой (2013YF-27).
Численные результаты, использованные для подтверждения выводов представленного исследования, могут быть по запросу получены у авторов (wangyixian2012@hfut.edu.cn).