К сожалению, существует устойчивое мнение о том, что при строительстве в сейсмически неактивных районах учет внешних вибросейсмических воздействий может не выполняться. Вместе с тем современные методы компьютерного моделирования и практический опыт указывают на очевидные ошибки такого подхода. В предлагаемой статье обосновывается, что для всех строительных проектов (даже при полном отсутствии природной сейсмической опасности) совершенно необходимо исследовать существующие и возможные внешние сейсмические воздействия на проектируемое здание или сооружение со стороны техногенных источников (трамваев, железных дорог, большегрузного автомобильного транспорта, строек и т.д.), что наиболее актуально в городских условиях.
Еще в начале 40-х годов прошлого века при строительстве первых высотных зданий в США заметили передачу вибраций между соседними строениями, особенно при наличии общих стенок [1]. В начале 1970-х годов в американских публикациях [1 и др.] было отмечено, что «трясение земной тверди» может происходить не только в результате тектонических землетрясений, но и по техногенным причинам, например при движении автотранспорта или забивании свай на строительных площадках.
Но только при анализе последствий землетрясения 1985 года в мексиканской столице Мехико [3] были впервые сформулированы понятия так называемой городской сейсмологии (urban seismology) практически в том виде, в котором она существует в настоящее время. Основные постулаты предложенного алгоритма заключаются в том, что можно выделить из общего интерференционного акустического поля компоненты, связанные со следующими воздействиями:
Формулирование и обоснование этих постулатов и стало базовой основой городской сейсмологии.
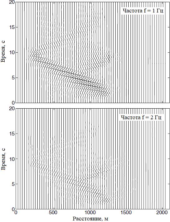
В дальнейшем в публикации [4] было также показано, что на суммарное интерференционное поле городского грунтового основания значительно влияет морфология (геометрия) последнего (рис. 1, 2).

Рис. 1. Схематичный упрощенный разрез (модель) грунтового основания городских строений г. Найса (Франция) (по [4])

Рис. 2. Интерференционное волновое сейсмическое поле в грунтовом основании, «излучаемое» г. Найсом (Франция), на частотах 1 и 2 Гц (по [4])
Особенно четко влияние геометрии границ подстилающих грунтов проявляется при наличии под дневной поверхностью погребенных палеодолин, характеризуемых сложным переслаиванием и «переплетением» грунтов с резко различающимися физико-механическими свойствами и сложной геометрией границ раздела. В результате этого возможно локальное усиление амплитуд сейсмических колебаний, что во многих случаях приводит к разрушению зданий и сооружений на дневной поверхности при отсутствии конструктивных предпосылок. Это подтверждает в том числе теоретическое моделирование сейсмических волновых полей, которое часто позволяет найти причины таких разрушений и принять меры по их устранению на случай последующих сейсмологических событий (рис. 3).

Рис. 3. Пример результатов числового моделирования сейсмических колебаний при землетрясении 1971 года, распространяющихся в грунтовом основании через погребенную палеодолину в г. Петропавловске-Камчатском
Поэтому при сейсмическом микрорайонировании строительных площадок на урбанизированных территориях в процессе инженерных изысканий следует не только внимательно изучать сейсмические воздействия, обусловленные прогнозируемыми землетрясениями, но и принимать во внимание структуру волнового поля, создаваемого самим городом.
Особенности городской сейсмологии обуславливаются не только строением и свойствами грунтовых оснований, но и собственными динамическими параметрами зданий и сооружений, которые формируют сейсмоакустическое интерференционное поле (микросейсмический фон окружающей среды). Методы и методики изучения таких параметров в настоящее время формируются. В этом отношении сейчас существует много точек зрения и теоретических обоснований [5 и др.].
Нормативные документы, которые регламентируют правила и обоснование тех или иных методов в рамках единого подхода, отсутствуют. В России это, как правило, методы, которые предложены МЧС РФ. Тогда как в странах Европейского Союза это преимущественно приемы, которые предполагают как прямые измерения сейсмоакустического поля (как и в первом случае), так и косвенные – направленные на регистрацию так называемых передаточных функций [6, 7]. Однако при изысканиях в ЕС регистрация внешнего поля является обязательной процедурой [8], тогда как в России – нет [9].
Вместе с тем имеются различия методик измерения динамических параметров зданий и сооружений, требуемых российской (ГОСТ 34081-2017, ГОСТ 31937-2011) и международной практикой, что обусловлено несовпадением взглядов исполнителей на физику регистрируемых параметров.
В ГОСТ 34081-2017 [20] эти взгляды также основаны на концепции прямых измерений фундаментальных частот и логарифмических декрементов затухания. Однако в условиях высокоинтерференционного сейсмовибрационного поля, в котором находится объект исследований, трудно избавиться от влияния внешних вибрационных помех (микросейсмических колебаний), источник которых не связан с этим объектом.
Для решения данной проблемы было предложено применить внешний импульсный источник активного контролируемого сигнала. Тогда измеряемые колебания будут откликом, свободным от внешнего квазистационарного фона. Значительный объем таких методических измерений подробно обсуждается в литературе [10 и др.] и на уровне жестких рекомендаций внедряется в практику в формате так называемого метода передаточных функций.
Кроме того, в многочисленных работах показано, что при измерениях динамических параметров зданий всегда требуется знание фундаментальных частот грунтов основания. Это необходимо с целью контроля возможности возникновения резонансных процессов [3, 8].
Так, при регистрации вынужденных резонансных колебаний корпусов Калининградского областного музыкального колледжа имени С.В. Рахманинова, возбуждаемых таким внешним источником, как движущийся двухвагонный трамвай, были получены следующие результаты (рис. 4). Для корпуса 1 (расположенного на расстоянии 65–70 м от дороги): в точке, находящейся в 20 м от трамвайных путей, частоты колебаний составляли 15–40 Гц; в самом корпусе А они были равны 9–22 Гц. Для корпуса 2 (40 м от дороги): в точке, расположенной в 20 м от путей, частотный диапазон составлял 10–50 Гц (максимальные амплитуды достигались на горизонтальной компоненте при параллельности оси прибора и дороги); в самом корпусе Б на четвертом этаже частотные диапазоны составляли 12–22 Гц для компоненты Е (параллельно дороге), 15–40 Гц для компоненты N (север – юг) и 11–30 Гц для вертикального канала.

Рис. 5. Спектральные характеристики, полученные по методу Накамуры для корпуса 1 (а) и корпуса 2 (б) Калининградского областного музыкального колледжа имени С.В. Рахманинова. Входной сигнал на рисунках показан в виде спектра, обозначенного как «улица 20 м»
Из рисунка 5 видно, что фундаментальная частота (в обоих корпусах указанного выше колледжа) была ниже до ремонта, чем после. При этом после ремонта частоты на записях увеличились, а для корпуса 1 появились новые частоты (2,3 Гц), которых ранее не было. Таким образом, по факту, здания стали более чувствительными к техногенным источникам вибраций (движению трамвая). При этом резонансный пик на частоте 2,3 Гц, возможно, является результатом взаимовлияния корпусов 1 и 2.
Совпадение частотных характеристик при измерениях сейсмическими приборами внутри здания и вне его также может свидетельствовать о взаимовлиянии зданий и окружающей территории, как это предполагается во многих публикациях [11].
Известно [12], что интегральные обобщенные динамические характеристики зданий и сооружений являются «усредненными по конструкции». Один из наиболее распространенных методов усреднения представлен уравнением Дюнкерлея [13], где фундаментальная частота f системы (здания), формируемая при интерференции локальных частот, определяется по частотам fi слагающих систему элементов (балок, колонн, диафрагм и т.д) через преобразование Рэлея – Ритца:
1/f2 = 1/f12 + 1/f22 + 1/f32 + … +1/fn2.
Таким образом, можно считать подтвержденным значительное влияние внешних источников на фундаментальные частоты зданий и сооружений, что необходимо учитывать при анализе экспериментальных данных. Более того, без контроля микросейсмического фона на территориях за пределами исследуемых объектов достоверность результатов измерений динамических параметров зданий будет вызывать сомнения [5, 14].
Усложнение экспериментальных измерений, обусловленное этими требованиями, привело к разработке методик, которые направлены на изучение таких интегральных характеристик, как коэффициенты уязвимости, связанные с динамическими параметрами зданий и сооружений [6, 15].
Прямые измерения динамических параметров свидетельствуют о значительном влиянии на них многих исходных факторов (структуры и геометрии здания, строительных материалов, этажности и пр.), количественное выражение которого обычно мало доступно [11], и о существенном разбросе измеряемых величин, не связанных с конструктивной прочностью объекта. Поэтому трудно составить обоснованное заключение о состоянии здания по измеренным периодам при сравнении их с простыми геометрическими характеристиками [15].
О.В. Кабанцев и Г.П Тонких [17] указывают, что оценка состояния несущих конструкций здания по динамике изменений частотных характеристик не обеспечивает получение надежного результата, откуда можно сделать вывод, что методика оценки технического состояния (сейсмостойкости) зданий и сооружений, основанная на сравнении их динамических характеристик с эталонным нормативным значением периода собственных колебаний, не может быть признана достоверной. В связи с этим представляется, что отдельные положения нормативных документов, касающиеся мониторинга технического состояния, выявления дефектов и повреждений, а также паспортизации зданий и сооружений на основе результатов динамических испытаний импульсными нагрузками малой интенсивности, не имеют должного научного обоснования и не могут быть использованы для оценки технического состояния несущих конструкций зданий и сооружений [17].
По этому поводу С.Н. Савин и И.Л. Данилов в своей книге [18] пишут, что во многих случаях такой подход без должного анализа конкретной ситуации может привести к серьезным ошибкам, которые, однако, идут «в запас» и могут занизить оценку состояния вполне добротного здания, но не наоборот – поэтому надежней анализировать и сопоставлять частоты собственных колебаний реального объекта и его идеальной модели.
Предлагаемые методики измерения колебаний на том или ином изучаемом объекте предусматривают не только место установки прибора (центр масс или центр тяжести здания или сооружения) и длительность сеанса регистрации, но и тип источника входного сигнала – либо техногенный (ударный или вибрационный), либо природный [12, 19].
Вместе с тем в ГОСТ 34081-2017 [20] рекомендуется использовать собственные колебания здания или сооружения, вызванные динамическим природно-техногенным фоном и, соответственно, не производить исследования дополнительных воздействий на этот объект.
С этой точки зрения работы по измерениям динамических параметров зданий и сооружений с использованием активных ударных воздействий [21], которые рекомендуются нормативами МЧС РФ [9], противоречат ГОСТ 34081-2017 [20]. Более того, практически доказано, что без учета микросейсмического фона измеряемые параметры могут содержать значительные ошибки, которые устраняются одновременными измерениями внутри здания и вне его на заданном удалении [8, 19].
Таким образом, не только динамические характеристики зданий и сооружений (при всей их важности) обладают решающим значением при оценке безопасности их эксплуатации и комфортности проживания на урбанизированных территориях. Очень важна и амплитуда внешних вибросейсмических воздействий. Поэтому предлагаемые оценки длительности периодов (частот), измеренных без учета внешнего воздействия, могут приводить к значительным ошибкам, на что уже указывалось выше. Кроме того, хорошо известно, что при соотношении f Т >> 1 (где f – средняя частота колебаний, Т – их период) наблюдается вибрация, а при f Т ~ 1 – импульсный режим излучения [22].
В приведенных выше примерах регистрации техногенных колебаний амплитуда ускорений соответствующих воздействий достигала 8–15 см/с2, что соответствовало 4–5 баллам по шкале MSK-64 на удалении 20–50 м. Хорошо известно, что во многих случаях (особенно при наличии поворотов рельсовых путей) амплитуды воздействий от движущегося трамвая могут достигать и более высоких значений на тех же удалениях. Таким образом, такие мониторинговые наблюдения было бы целесообразно выполнять на предпроектной стадии даже при работах в сейсмически безопасных районах (при отсутствии требований по проведению сейсмического микрорайонирования).
Но, к сожалению, существует устойчивое мнение о том, что при строительстве в сейсмически неактивных районах учет внешних вибросейсмических воздействий может не выполняться. Вместе с тем современные методы компьютерного моделирования и практический опыт указывают на очевидные ошибки такого подхода. Для всех строительных проектов (даже при полном отсутствии природной сейсмической опасности) совершенно необходимо исследовать существующие и возможные внешние сейсмические воздействия на проектируемое здание или сооружение со стороны техногенных источников (движения трамваев, поездов, большегрузного автомобильного транспорта, сваебойных работ, поведения окружающих зданий и сооружений и т.д.), причем на предпроектной стадии.
Более того, в городах наблюдается явная тенденция к росту техногенных воздействий на сейсмический фон прежде всего из-за увеличения трафика, плотности застройки и ее этажности (верхние этажи вновь построенных высоток раскачиваются сильнее). Поэтому при проектировании, помимо всего прочего, необходимо учитывать ожидаемый рост сейсмоактивности.
Таким образом, исследования по городской сейсмологии при изысканиях для строительства обязательно должны включать (даже для неактивных в сейсмическом отношении регионов) [23, 24]:
Список литературы (в порядке первого упоминания)
Заглавное фото: https://vespig.wordpress.com/2015/05/28/калининградский-трамвай/