Канадская компания Rocscience, основанная в 1996 году на базе Университета Торонто, стала одним из мировых лидеров по разработке, усовершенствованию и распространению 2D и 3D программного обеспечения для инженеров-строителей, горных инженеров и инженеров-геологов. На сайте данной компании недавно появилась интересная статья «Влияние вертикального расчленения слоя глины на результаты расчета первичной консолидационной осадки в программе Settle3». Ее автором является Ахмед Аль-Муфти – член команды программного обеспечения в Rocscience, опытный специалист в сферах геомеханики, геотехники и численного анализа, доктор наук (в нашем журнале уже был опубликован перевод его предыдущей статьи на сайте Rocscience). Предлагаем вниманию читателей адаптированный перевод данной работы.
Осадка слоя глины может быть традиционно оценена на основе консолидационных испытаний образцов в приборах компрессионного сжатия (в условиях одномерной консолидации). На рисунке 1 показана идеализированная полулогарифмическая компрессионная кривая – скорректированный график изменений коэффициента пористости (вертикальная ось) в зависимости от вертикального эффективного напряжения (горизонтальная ось, логарифмический масштаб).

Рис. 2. Изменения свойств грунта с глубиной, которые можно найти с помощью вкладки Datum Dependency («Зависимости параметров»)
Двумя наиболее важными параметрами, которые могут изменяться с глубиной, являются коэффициент пористости e и коэффициент переуплотнения OCR. В программе Settle3 переуплотнение может быть отражено также через параметр OCM (OverConsolidation Margin) – разницу между напряжением предварительного уплотнения и начальным вертикальным эффективным напряжением, постоянную во всем слое. Эффекты от изменений указанных параметров будут обсуждены позже.
Программа Settle3 вычисляет осадки для выбранных пользователем условий расчета с помощью так называемых точек (пунктов, строк) запроса. В данном случае условие в точке запроса – это выбранное пользователем количество подслоев в каждом слое (рис. 3). Соответствующее диалоговое окно включает обозначение точки запроса, параметры вывода результатов запроса на экран и метод, используемый для вертикального расчленения слоев. Параметры расчленения по умолчанию устанавливаются автоматически, но пользователь может изменить это – например так, чтобы подслои были одинаковой толщины или чтобы каждый слой разделялся на определенное количество подслоев.
Рис. 3. Диалоговое окно Query Point («Точка запроса») в программе Settle3
Любое число, большее единицы, разделит исследуемый слой на подслои. И осадка этого слоя будет представлять собой сумму осадок всех подслоев, то есть:
Рис. 4. Как передать нагрузку по глубине без использования распределения напряжений
Рассматривается только первичная осадка и только в слое глины. Для вертикального расчленения слоя с помощью диалогового окна Query Point («Точка запроса») добавлено шесть точек запроса, каждой из которых присвоено свое число подслоев:
На рисунке 5 показаны итоги расчетов на основе модели 1 для нормально уплотненной глины: план и трехмерные изображения с вычисленными осадками. Понятно, что результаты оценки осадок для разных точек запроса получаются разными, за исключением точек D и E, для каждой из которых количество подразделений должно быть равно 100. Слой глины, показанный зеленым цветом, имеет толщину 10 м, залегает у поверхности земли и непосредственно под поверхностной нагрузкой. Расчеты осадки в диалоговом окне Soil Properties («Свойства грунта») ограничиваются первичной компрессией (см. учебные материалы по пользованию программой Settle3 на сайте rocscience.com).
Рис. 5. Модель 1 для нормально уплотненной глины. Осадки для точек запроса А–F
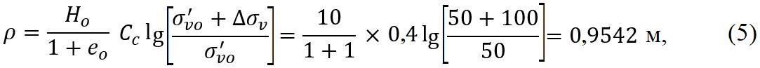
Ручной расчет осадки со средними характеристиками по всему слою легко произвести следующим образом:
Рис. 6. Изменения осадок в слое глины по глубине для всех точек запроса в модели 1
Модель 2 почти во всем аналогична предыдущей, но нормально уплотненная глина в ней заменена на переуплотненный слой глины с постоянным OCR = 2 независимо от глубины. Осадки для всех точек запроса при использовании этой модели представлены на рисунках 7 и 8.
Рис. 7. Модель 2 для переуплотненной глины с постоянным по глубине OCR = 2. Осадки для точек запроса А–F
Ручной расчет осадки слоя при среднем для него OCR = 2, то есть среднем σ‘vm = 100 кПа, показывает, что конечное напряжение превышает максимальное напряжение предварительного уплотнения, так как оно составляет 150 кПа. Следовательно:
Рис. 8. Изменения осадок в слое глины по глубине для всех точек запроса в модели 2
В модели 3 коэффициент переуплотнения изменяется с глубиной от 3 на уровне кровли слоя до 1 на уровне его подошвы. При использовании среднего значения OCR по единому слою осадка должна получиться такой же, как в модели 2, поскольку средний коэффициент переуплотнения в модели 3 равен постоянному OCR в модели 2 (сравните результаты для точки запроса А в моделях 2 и 3, см. рис. 7 и 9). Однако результаты для других точек запроса в этих моделях различаются, и это связано с вычислениями для каждого подслоя на основе его собственного OCR (изменяющегося с глубиной залегания подслоя). Полученные для модели 3 результаты представлены на рисунках 9 и 10.
Рис. 9. Модель 3 для переуплотненной глины с меняющимся с глубиной OCR. Осадки для точек запроса А–F
Рис. 10. Изменения осадок в слое глины по глубине для всех точек запроса в модели 3
Из рисунков видно, что влияние вертикального расчленения слоя глины на результат оценки осадки больше в случае переуплотненного грунта, чем в случае нормально уплотненного грунта из-за использования в расчетах индекса рекомпрессии Cr, и это еще более очевидно в случае изменений OCR с глубиной.
Модель с линейным изменением поведения грунта по глубине строится и используется для расчетов аналогично модели с нелинейным изменением. В этом случае значение mv выбирается близким к среднему ожидаемому следующим образом:

Данное значение и использовалось для расчетов в программе Settle3. Интересно, что в этом случае все точки запроса независимо от количества подслоев дали одинаковые результаты, которые также совпали с величиной, полученной при использовании среднего по единому слою, то есть:

Отсюда ясно, что вычисленная осадка грунта с линейным изменением поведения по глубине не будет зависеть от его вертикального расчленения (от точки запроса). Однако результаты расчетов могут быть различными для линейного и нелинейного случаев, даже если модуль упругости выбран очень тщательно.
На основе обсуждения того, как влияет на рассчитанную осадку условное разделение слоя глины на подслои, можно сделать следующие выводы и дать следующие рекомендации.
1. Вертикальное расчленение слоя при нелинейных изменениях поведения грунта (нелинейном распределении напряжений) с глубиной приведет к другим значениям осадки по сравнению с традиционным использованием модели единого слоя со средними по его толщине свойствами и напряжениями.
2. Эта разница исчезнет в случае линейных изменений поведения грунта с глубиной.
3. Разница будет снижаться по мере уменьшения толщины слоя по отношению к площади нагружения.
4. Разделение слоя на подслои обычно более консервативно и в сумме дает более высокие рассчитанные осадки.
5. Рекомендуется увеличивать количество подслоев до тех пор, пока разница между осадками не будет в пределах приемлемой (допустимой), или по крайней мере выбрать автоматическое разделение слоя в программе Settle3.
6. Инженеру не следует ожидать одинаковых результатов от линейных и нелинейных методов, а следует принять решение, что выбрать.
7. Увеличение нелинейности изменений поведения грунта с глубиной приводит к большей разнице между рассчитанными осадками для разных количеств подслоев.
8. Это все носит общий характер и может применяться ко всем типам осадок и всем типам грунта (не только по отношению к глине).