В 2022 году по инициативе и при поддержке генерального директора ООО «Петромоделинг» Алексея Бершова редакция журнала «ГеоИнфо» продолжит знакомство читателей с методом прессиометрических испытаний грунтов. Эти испытания большинством изыскателей и проектировщиков воспринимаются как «более дешевая и простая альтернатива штамповых испытаний». На деле данная технология является уникальным методом испытаний грунтов в массиве. Она используется для определения как действующих горизонтальных напряжений и коэффициента К0 (без которого, как известно, невозможны оценка начального (природного) состояния геологической среды и дальнейшие расчетные обоснования конструкций), так и физико-механических откликов геологической среды на горизонтальное механическое воздействие. Например, таких как зависимость между напряжениями и деформациями и недренированная прочность.
Как отмечает А. Бершов, понимание методов оценки напряженно-деформированного состояния массива грунтов очень важно для эффективного перехода к трехмерному моделированию геологической среды и построению ее инженерных цифровых моделей. Это базовая часть информационной цифровой модели объекта капитального строительства, без которой любые информационные проектные построения просто "повисают в воздухе".
Сегодня предлагаем вниманию читателей четвертую часть адаптированного перевода обзора [1] по полевым испытаниям грунтов с использованием прессиометров, написанного профессором кафедры гражданского строительства Университета Нью-Гемпшира Жаном Бенуа (США) и доцентом кафедры гражданского строительства Университета Британской Колумбии Джоном Хауи (Канада). Эта часть, как и предыдущая, посвящена проблемам прессиометрических испытаний в Северной Америке, но уже на конкретных примерах. Также приведены обсуждение рассмотренных материалов, заключение и рекомендации авторов обзора. Нумерация рисунков и таблиц соответствует таковой в оригинальной статье [1].
Консультационную помощь редакции при подготовке адаптированного перевода оказали генеральный директор ООО «Петромоделинг» Алексей Бершов и другие специалисты этой компании.
Хотя Менар проводил свои первые прессиометрические испытания в США, принятие и использование таких тестов в целом было относительно медленным по сравнению с другими методами, применяемыми in situ, такими как статические испытания на внедрение конуса (CPT). Тем не менее несколько изыскательских или проектно-изыскательских фирм используют испытания прессиометрами на различных площадках. Применение таких типов тестов в США и Канаде, по-видимому, является локальным и сильно зависит от исторического использования и опыта.
Как было отмечено в оригинальной работе Менара, а затем и в других публикациях (Kastman, 1978; Baker, 2005; Lukas, 2010), одно из первых применений прессиометра, помещаемого в предварительно пробуренную скважину, было в районе Чикаго.
В одной из вышеуказанных статей (Kastman, 1978) соотношение между модулем Менара и результирующим (net) предельным давлением EM/pLM используется в качестве индикатора качества испытания (или нарушений) и для идентификации грунта. На рисунке 9 показаны результаты этой работы, полученные для различных грунтов с помощью испытаний прессиометром в США и с применением отношения EM/pLM как функции логарифма прессиометрического модуля. На этом рисунке ясно видна сильная линейная зависимость для каждого типа грунта. Было обнаружено, что отношение EM/pLM находится в диапазоне от 8 до 12 для нормально консолидированных грунтов и от 12 до 20 для переуплотненных (Kastman, 1978).
Рис. 9. Прессиометрическое отношение EM/pLM в зависимости от прессиометрического модуля EM (по Kastman, 1978)
В одной из работ (Lukas, 2010) описан опыт прессиометрических тестов в сильно переуплотненных чикагских глинах, в которых невозможно проведение статических испытаний на внедрение конуса (CPT) и из которых невозможен отбор проб с помощью тонкостенного трубчатого грунтоноса Шелби. Вплоть до 1970-х годов характеристики этих грунтов получали с помощью динамических стандартных пенетрационных испытаний (SPT), при которых число ударов N обычно превышало значения 50–100. Испытания с помощью прессиометра для таких грунтов были хорошо приняты, поскольку их легко использовать в полевых условиях и они гораздо дешевле, чем полномасштабные испытания на нагрузку. Прогнозы несущей способности и осадок за 35 лет опыта (Lukas, 2010) достаточно хорошо коррелировали с действительностью. Так, осадка 61-этажного здания, построенного на буровых сваях в этих переуплотненных грунтах, была оценена с использованием прессиометрических данных. Расчетные вертикальные смещения хорошо согласовывались с измеренными в полевых условиях, когда реактивный отпор грунта (bearing pressures) был ниже давления, вызывающего ползучесть (creep pressure), а при расчетах осадок использовался прессиометрический модуль. В другом случае расчетная несущая способность сплошного (плитного) фундамента высотного здания, построенного на переуплотненной глине, оцененная по результатам прессиометрических испытаний, хорошо согласовывалась с данными, полученными с помощью более традиционных подходов к проектированию с использованием значений недренированной прочности на сдвиг, полученных по данным прессиометрических тестов (Lukas, 2010).
Подобным же образом в другой работе (Baker, 2005) описывается опыт испытаний с помощью прессиометра в районе города Чикаго (США), а также в других частях мира. Прессиометрические испытания проводятся в Чикаго с 1969 года и позволяют менее консервативно проектировать буровые сваи и кессоны, чем при использовании параметров, полученных в результате динамических стандартных пенетрационных тестов (SPT) и лабораторных испытаний на одноосное сжатие, увеличивая допустимые давления более чем на 50%. Опыт (Baker, 2005) показывает, что в случаях сильно уплотненных ледниковых морен и отложений от средней плотности до плотных использование прессиометрической теории и адекватных результатов прессиометрических испытаний позволяет надежно прогнозировать осадки фундаментов глубокого заложения при рабочих нагрузках. Уверенность в надежном прогнозировании осадок позволила разрабатывать более инновационные проекты. Высказывалось мнение (Baker, 2005), что для надежных прогнозов осадок нагрузка от собственного веса конструкций плюс давление вышележащего грунта не должны превышать среднего давления ползучести (однако бывают случаи, когда такой подход неприменим, например для слабосцементированного песчаника). Расчетные оценки в рассматриваемой работе (Baker, 2005) выполнялись с помощью либо правил Менара, либо теории упругости с эквивалентным модулем Юнга, полученным на основе данных прессиометрических испытаний. Использованный подход был основан на местном опыте и мониторинге эффективности других похожих фундаментов в похожих грунтах. Такой подход часто приводит к эмпирическим формулам, характерным для работы конкретных компаний.
Прессиометрические испытания также широко проводились в районе города Ричмонд в штате Вирджиния США (Martin, Drahos, 1986) в миоценовых глинах, сильно предварительно уплотненных и твердых по консистенции. Этот материал также чувствителен к воздействиям и может вести себя очень пластично. На основе этих работ была выведена взаимосвязь между компрессионным модулем деформации (constrained modulus), определенным при повторном нагружении во время компрессионных испытаний (consolidation tests), и прессиометрическим модулем EM. Было обнаружено, что полученные результаты (Martin, Drahos, 1986), показанные на рисунке 10, сильно отличаются от данных для чикагских глин из более ранней публикации (Lukas, DeBussy, 1976). Также была выведена корреляция между давлением ползучести по результатам прессиометрических испытаний (pf) и давлением предварительного уплотнения (pc). Было указано, что консервативная оценка pc может быть получена по формуле pc = 0,6pf (Martin, Drahos, 1986).
Рис. 10. Ваимосвязь между компрессионным модулем деформации, определенным при повторном нагружении во время компрессионных испытаний (Ec), и прессиометрическим модулем (EM). Примечание: tsf – тонн на квадратный фут (ton per square foot); 1 tsf = 95,76 кПа
Как показано в таблице 7, составленной авторами настоящего обзора на основе технической литературы и геотехнических отчетов, используется ряд различных версий прессиометров. Безусловно, наиболее распространенным был гидравлический прессиометр марки Texam производства канадской компании Roctest. Это однокамерный прессиометр, помещаемый в предварительно пробуренную скважину, разработанный Брио и его сотрудниками (Briaud, 1992). Он был разработан для того, чтобы «упростить и сделать более безопасными (благодаря отсутствию баллона с газом под давлением) эксплуатацию и ремонт прессиометра Менара, обеспечив при этом большее количество типов возможных прессиометрических испытаний (в том числе, например, при циклическом нагружении)» (Briaud, 1992). Существует также высокопроизводительный вариант от той же компании – прессиометр Probex, предназначенный для испытаний в скальных грунтах.
Таблица 7. Наиболее распространенные прессиометры, упоминаемые в североамериканских публикациях и документах
Рис. 11. Стадии подготовки скважины (испытательного кармана) для прессиометрического испытания в гравелистом грунте (по Durkee et al., 2007)
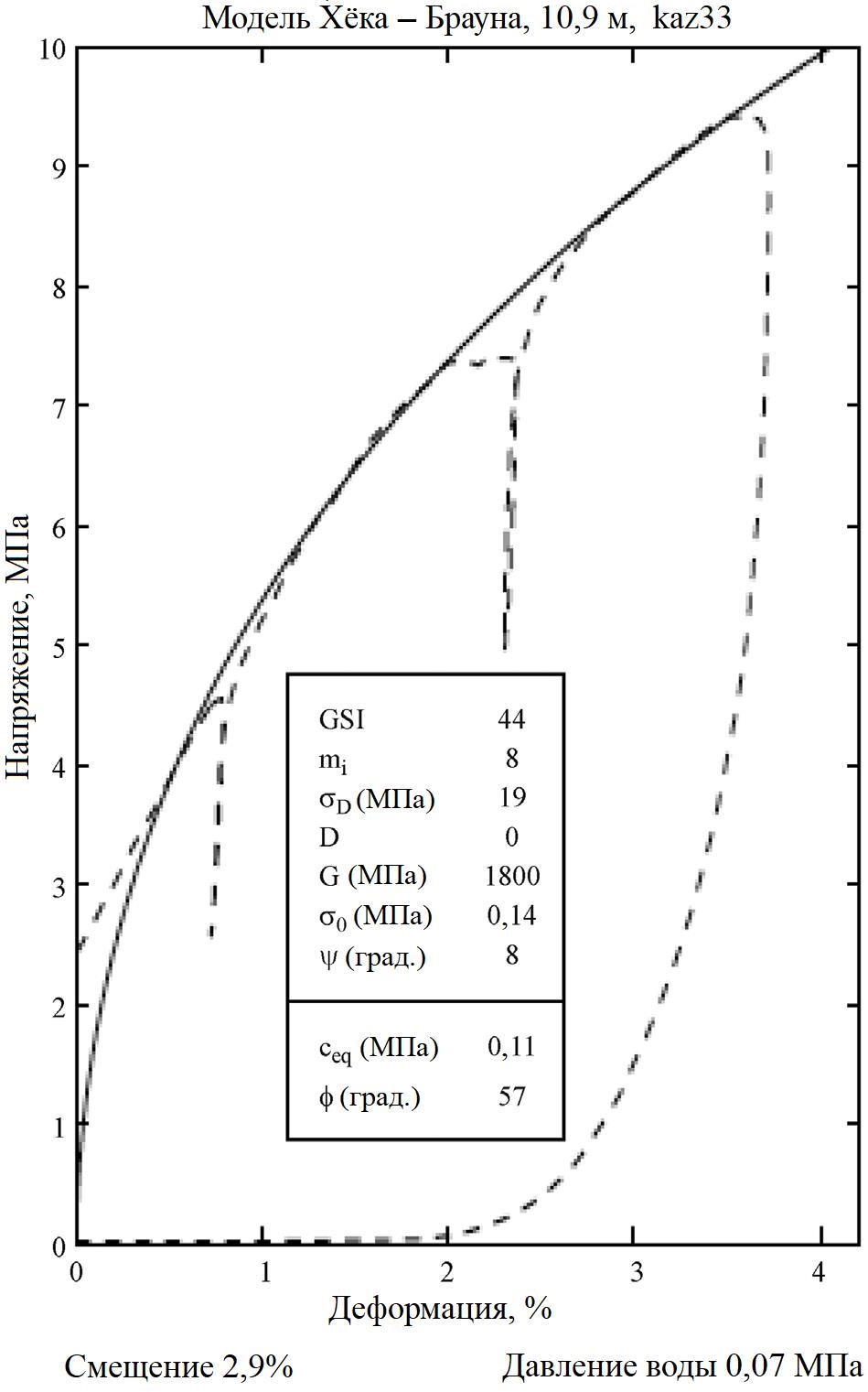
Прессиометры продолжают представлять интерес для исследователей. Так, было представлено исследование прессиометрических испытаний в слабых скальных породах с помощью однокамерного прессиометра кембриджского типа и с использованием компьютерного моделирования на основе репрезентативных комплексных геомеханических (конститутивных) моделей скальных грунтов (Dafni, 2013). На рисунке 12 сопоставлены результаты измерений и кривая, полученная ранее (Yang, Zou, 2011) с использованием модели Хёка – Брауна (Hoek-Brown).
Рис. 12. Кривые прессиометрических испытаний в слабом скальном грунте на основе реальных измерений и на основе модели Хёка – Брауна (по Dafni, 2013; Yang, Zou, 2011) (GSI – Geological Strength Index – геологический индекс прочности Хёка – Брауна)
На рисунке 13 показан пример результатов испытаний зондом типа прессиометра Менара в целях изучения его возможностей для оценки прочности на горизонтальный сдвиг (side shear capacity) стенок скважин, пробуренных в известняке Флориды (Jacobs, 2003). Задачей было определение того, дадут ли эти испытания данные, более репрезентативные для массива скальных грунтов, чем результаты используемого в то время подхода, основанного на лабораторных испытаниях ненарушенных образцов керна скальной породы. Эмпирический метод расчета прочности на горизонтальный сдвиг, разработанный в Центральной лаборатории мостов и дорог (LCPC – Laboratoire Central des Ponts et Chaussees), оказался достаточно эффективным, поэтому было рекомендовано его дальнейшее изучение и отмечено, что требуется его дополнительная калибровка путем сравнения с результатами испытаний на нагрузку, прежде чем начать его применять для проектирования в штате Флорида США (Jacobs, 2003).
Рис. 13. Пример результатов испытаний зондом типа прессиометра Менара во флоридском известняке (Jacobs, 2003)
Прессиометрические испытания пока (по крайней мере на момент написания настоящей статьи в 2014 году. – Ред.) не получили широкого распространения в геотехнической практике Северной Америки. Обычно их считают слишком дорогими для повседневной практики. Например, Министерство транспорта штата Невада США выразило общее мнение о них следующим образом:
«Прессиометр – это точный инструмент, и испытания с его помощью очень чувствительны к нарушениям ствола скважины. Для некоторых грунтов интерпретация полученных прессиометрических данных может быть трудной, но преимуществом является то, что из-за большого размера измерительной камеры маловероятно, что на нее негативно повлияет присутствие в дисперсном грунте гравия. Такие испытания требуют высокого уровня технических знаний и опыта, а также отнимают много времени».
Ситуация осложняется тем, что используется целый ряд инструментов и процедур испытаний. Форма прессиометрической кривой на основе испытаний в любом дисперсном или скальном грунте зависит от метода помещения прессиометра в испытываемый материал, геометрии этого прибора и деталей хода выполнения тестов. Следовательно, испытания, проводимые с помощью разных приборов и разных методик, будут давать неодинаковые кривые для одного и того же грунта, причем величины расхождений будут зависеть от тестируемого материала. При этом есть свидетельства того, что некоторые инженеры продолжают интерпретировать результаты испытаний, используя правила Менара, несмотря на то что их данные не были получены с помощью приборов и процедур, соответствующих этим правилам.
Для традиционного строительства фундаментов в песках и более мелкозернистых грунтах, которые обычно умеренно переуплотнены, прессиометр не дает никаких преимуществ перед такими более быстрыми и более надежными тестами in situ, как испытания плоским дилатометром (DMT) и статические испытания на внедрение конусного зонда, оборудованного датчиками порового давления и сейсмическими датчиками (сейсмические испытания CPTu), за исключением необычных случаев, когда прессиометр может дать дополнительную информацию. Однако для характеристики механического поведения твердых или очень плотных, крупнозернистых, остаточных, сапролитовых или латеритных дисперсных грунтов, слабых и трещиноватых скальных пород, мерзлых грунтов и льда лучше подходят испытания прессиометром, помещаемым в предварительно пробуренную скважину, а не обычные пенетрационные испытания или бурение и отбор образцов. Тогда задача состоит в том, чтобы для успешного проведения прессиометрических тестов подготовить подходящий испытательный карман. И это «самый важный и самый сложный этап качественного прессиометрического испытания» (Briaud, 2013).
Методики испытаний прессиометром, помещаемым в предварительно пробуренную скважину, прописанные в текущей (на 2014 год. – Ред.) версии стандарта ASTM, не соответствуют методикам европейского стандарта (ISO). Основное отличие касается возможности включения цикла «разгрузка – повторное нагружение» на некоем этапе расширения. Соответствующие рекомендации ISO основаны на многолетнем опыте успешного использования во Франции параметров, полученных с помощью прессиометрических испытаний, непосредственно для проектирования фундаментов. Эта разница ставит под угрозу возможность извлечения выгоды из этого опыта инженерами Северной Америки.
Одна из причин медленного внедрения прессиометрических испытаний в Северной Америке – недостаточные (или даже отсутствующие) знания об их инструментах, методиках, а также интерпретации и использовании их результатов. Отчасти это можно отнести к системе образования. Так, среди членов Совета университетов США по геотехническому образованию и исследованиям была распространена специальная анкета для оценки уровня и типа деятельности в области исследований и преподавания в отношении прессиометрических испытаний в Соединенных Штатах Америки (Benoit, 2013). Один из вопросов касался количества лекционного времени в основном учебном курсе, посвященного каждому типу испытаний in situ. Результаты обработки ответов на этот вопрос показаны на рисунке 14. На испытания SPT и CPT в 25% программ тратилось менее 30 минут (на каждое), еще в 25% – 1–2 часа, и только около 13% программ охватывали эти материалы более подробно, посвящая им более 3 часов. Что касается дилатометрических (DMT), прессиометрических (PMT) испытаний и геофизических методов, то примерно 40% программ тратили на них всего по 10–30 минут, а около 15% использовали по 1 часу или больше. Было несколько удивительно, что до 20% программ тратили на DMT, PMT, FVT (испытания крыльчаткой) и геофизические методы менее 10 минут.
Рис. 14. Количество лекционного времени, потраченного на разные типы геотехнических испытаний in situ во время основных учебных курсов в вузах США, имеющих отношение к геотехнике, на основе 40 анкет (Benoit, 2013)
При подготовке этого обзора у авторов сложилось мнение, что некоторые типы испытаний, например прессиометрические, отнимают много времени и слишком сложны. Однако, если будущих и нынешних геотехников не научат основам использования и интерпретации разных методов испытаний, то возможности для повышения эффективности и безопасности наших проектов, вероятно, продолжат медленно развиваться, но, конечно, более продвинутые и сложные испытания будут маловероятны. Правильное же обучение и понимание более сложных методов тестирования грунтов in situ приведут к более широкому использованию полевых методов, в том числе прессиометрических.
Хотя прессиометрические испытания доступны в Северной Америке с конца 1950-х годов, они не получили там широкого распространения в геотехнической практике. В песчаных и более мелкозернистых грунтах, которые не подвергались сильному переуплотнению или другим уплотняющим процессам, такие тесты медленнее и дороже для повседневного использования и не могут конкурировать с более традиционными видами испытаний – на внедрение конуса с измерением порового давления (CPTu), плоским дилатометром (DMT) или на стандартную пенетрацию (SPT). Но прессиометрические испытания находят применение в таких грунтовых условиях, для которых более тщательные расчеты и анализ для проектирования являются вполне оправданными из-за возможных последствий некачественных геотехнических характеристик. Примерами такого использования могут быть получение кривых «p – y» для проектирования свай с горизонтальной нагрузкой и определение жесткости для детальной оценки неравномерных осадок. Если основные свойства грунта оценить с помощью испытаний прессиометром кембриджского типа, то можно получить входные параметры для детального численного анализа.
Прессиометрические испытания широко применялись и применяются в районах США и Канады, в которых встречаются твердые или очень плотные дисперсные грунты, такие как ледниковые морены и сильно переуплотненные глины, плотные/твердые остаточные грунты и очень крупнозернистые отложения. Еще такие тесты использовались и используются в слабых и трещиноватых скальных породах, в мерзлых грунтах и во льду, а также в качестве инструмента для контроля качества усиления грунта. Обычно прессиометрические испытания оказывались действительно полезными там, где традиционные подходы к описанию площадок давали неопределенные или нечувствительные результаты (например, какая разница в параметрах грунта, полученных для числа ударов при SPT, равного 6 на 0,3 м и 12 на 0,3 м?). Поскольку методы интерпретации прессиометрических данных имеют теоретическую основу, есть возможность оценить значимые параметры прочности и деформации для всех материалов, для которых можно получить кривую расширения. Также можно соотнести измеренные параметры с обширным опытом, накопленным при использовании прессиометрических тестов для проектирования фундаментов в Европе и других странах.
Чтобы испытания с помощью прессиометров получили более широкое признание в инженерной практике Северной Америки, необходимо принять следующие меры.
Например, имея дело с проектами и грунтовыми основаниями в городе Ричмонд в штате Вирджиния США, необходимо было приложить усилия для «систематического сбора и оценки информации по подповерхностным условиям, а также по проектированию, строительству и поведению зданий в Ричмонде. Это в конечном итоге привело бы к набору относительно простых и надежных правил проектирования фундаментов зданий в этом городе» (Casagrande, 1966). Правила Менара, по существу, были разработаны и улучшены в соответствии с этими принципами. Прессиометр – это инструмент, который до сих пор (по крайней мере до 2014 года. – Ред.) недостаточно использовался в Северной Америке, а иногда и ненадлежащим образом. Важно внедрить и расширить его применение, в особенности потому, что численные инструменты требуют для анализа более сложных современных параметров.