При поддержке ГК «ПетроМоделинг», партнера журнала «ГеоИнфо», редакция начинает знакомство читателей с методами оценки напряженно-деформированного состояния массива грунтов с целью перехода к трехмерному моделированию геологической среды и построению инженерных цифровых моделей геологической среды как базовой части информационной цифровой модели объекта капитального строительства, без которой любые информационные проектные построения просто «повисают в воздухе».
Начнем с рассмотрения прессиометрических испытаний грунтов, которые на сегодняшний день большинством изыскателей и проектировщиков воспринимаются как «более дешевая и простая альтернатива штамповых испытаний». На деле данная технология является уникальным методом испытаний грунтов в массиве. Она используется для определения как действующих горизонтальных напряжений и коэффициента К0 (без которого, как известно, невозможны оценка начального (природного) состояния геологической среды и дальнейшие расчетные обоснования конструкций), так и физико-механических откликов геологической среды на горизонтальное механическое воздействие. Например, таких как зависимость между напряжениями и деформациями и недренированная прочность.
В первых двух публикациях представлен подробный обзор материалов статьи А. Марслэнда и М.Ф. Рэндольфа (сотрудников Научно-исследовательского института по строительству Департамента по вопросам окружающей среды Великобритании) «Сравнение результатов прессиометрических испытаний и крупномасштабных полевых штамповых испытаний лондонской глины» [1]. Эта большая работа была опубликована в журнале Geotechnique («Геотехника») еще в 1977 году, но до сих пор представляет интерес для инженеров-геологов, использующих в своих исследованиях прессиометрические и штамповые испытания грунтов.
Здесь будет представлена первая часть обзора, в которой рассматриваются и сравниваются некоторые методы анализа результатов полевых прессиометрических и штамповых испытаний, предложенные другими исследователями до 1977 года.
Оригинальная статья разделена на две части, поэтому и данный обзор будет состоять из двух частей.
Свою статью «Сравнение результатов прессиометрических испытаний и крупномасштабных полевых штамповых испытаний лондонской глины» [1], опубликованную в журнале Geotechnique («Геотехника») в 1977 году, А. Марслэнд и М.Ф. Рэндольф начинают с небольшого обзора по истории возникновения и развития методов прессиометрических испытаний грунтов в скважинах и соответствующих приборов – прессиометров. В итоге они отмечают, что к настоящему времени разработаны достаточно общие методы анализа, которые позволяют непосредственно по данным прессиометрических испытаний получать кривые «напряжение – деформация».
Далее Марслэнд и Рэндольф кратко рассказывают об испытаниях именно лондонской глины другими исследователями и на основе этого делают вывод, что на измеренные значения прочности на сдвиг может серьезно повлиять соотношение размеров исследуемого объема грунта и размеров неповрежденных блоков между трещинами. Поэтому эмпирические корреляции, основанные на сравнениях между данными мелкомасштабных полевых тестов (таких как испытания прессиометром, крыльчаткой и коническим пенетрометром) и лабораторных испытаний небольших образцов, могут быть обманчивыми, если не принимать во внимание возможное влияние масштаба.
В первой части статьи [1] представлены различные методы анализа полевых штамповых и прессиометрических испытаний в попытке найти единый согласованный способ интерпретации их результатов.
Как указывают авторы статьи [1], плоские штампы для полевых тестов обычно являются достаточно жесткими. При анализе результатов таких испытаний обычно принимается, что зависимость напряжений от деформаций грунта подчиняется идеально-упругопластическому закону. Ссылаясь на других авторов, Марслэнд и Рэндольф [1] приводят следующий обзор.
Одна из предложенных формул для осадки жесткого нагруженного штампа на поверхности упругого полупространства выглядит так:
Рис. 1. Типичные кривые «нагрузка – осадка» по результатам испытаний штампом диаметром 865 мм [1]
По мнению авторов работы [1], разумно сравнить секущие модули, измеренные в одинаковых диапазонах напряжений сдвига при двух указанных типах полевых испытаний. Подходящий диапазон – от напряжений in situ до точки, в которой максимальное напряжение сдвига увеличилось на cu. В идеально-упругопластичном материале это будет точка, в которой начинает развиваться пластическая зона и, следовательно, начинают быстрее увеличиваться деформации.
Далее Марслэнд и Рэндольф [1] напоминают, что нагружение жесткого штампа приводит к немедленному развитию пластических деформаций по его краям. Однако подавляющая часть грунта под штампом останется при гораздо более низких напряжениях сдвига. Ссылаясь на других исследователей, авторы работы [1] пишут о том, что увеличение напряжения сдвига можно оценить по среднему приложенному давлению. Максимальное напряжение сдвига на осевой линии под равномерно нагруженной зоной равно 0,3 от приложенного давления. Под жестким штампом распределение напряжений является более сложным, но указанное соотношение и в этом случае является приблизительно верным. Поэтому приложенное давление q, при котором максимальное напряжение сдвига равно сu, примерно составляет 3,33сu. И здесь, забегая вперед, Марслэнд и Рэндольф [1] указывают, что по данным штамповых испытаний лондонской глины эффективное приложенное давление при разрушении составило (qu–γsz)≈9,6сu, где γsz – общее давление вышележащего грунта.
Из вышесказанного авторы статьи [1] делают вывод, что секущий модуль следует измерять в диапазоне напряжений от γsz до приложенного давления q, причем:
Рис. 2. Идеализация кривых «напряжение – деформация» для реального грунта с помощью эквивалентной идеально-упругопластической кривой: а – деформационное упрочнение; б – деформационное разупрочнение [1]
В случае испытаний с использованием нагружения круглых штампов в скважинах силы сдвига, действующие на вертикальные стороны штампа, невелики и значение Nc=9,34 является подходящим при условии, что штамп имеет тот же диаметр, что и скважина. Это также хорошо согласуется со значениями, полученными в результате модельных испытаний в восстановленной лондонской глине.
В настоящее время, как подчеркивают авторы работы [1], наиболее надежными для ненарушенной лондонской глины являются те значения Nc, которые определяются по предельной несущей способности, измеренной при нагружении штампов диаметром 865 мм на глубине 6,1 м в рассматриваемом месте, и по соответствующим значениям прочности на сдвиг, измеренным при трехосных испытаниях образцов диаметром 98 мм. С глубины 6,1 м были получены ненарушенные образцы диаметром 98 мм, а для измерений прочности при их трехосных испытаниях трещины были достаточно близко расположены, чтобы обеспечить разумные величины, соответствующие таковым при крупномасштабных испытаниях. В результате были получены значения Nc в диапазоне 8,70–9,65 со средним значением 9,25.
Марслэнд и Рэндольф [1] отмечают, что величины Nc на более глубоких уровнях, где изменяется структура глины, могут быть другими. Чтобы получить надежные корреляции для большей глубины, необходимо провести испытания образцов, достаточно крупных для репрезентативного отражения структуры грунта. Но не существует оборудования для получения и испытаний уж очень больших образцов. Из-за отсутствия независимых корреляций для этих глубин авторы работы [1] для получения недренированной прочности на сдвиг по результатам штамповых испытаний будут повсеместно использовать значение Nc=9,25.
Здесь авторы статьи [1] снова приводят небольшой обзор, ссылаясь на других исследователей. В своей работе [1] Марслэнд и Рэндольф использовали метод анализа, предложенный Джибсоном и Андерсоном (Gibson, Anderson, 1961 году), которые приняли грунт идеально-упругопластическим.
Для случая расширения цилиндрической полости в неограниченной линейно-упругой среде была получена следующая формула:
Рис. 3. Типичная кривая «давление p – объем V», построенная на основе испытаний прессиометром на глубине 13,1 м в скважине 2 [1]
Авторы статьи [1] напоминают, что стандартный способ оценки горизонтального напряжения in situ основывается на принятии соответствия величины pо началу линейной области кривой «давление – объем», а также точке на кривой ползучести, начиная с которой ползучесть падает до низкого постоянного значения. Однако, по их мнению, есть основания полагать, что в случае переуплотненного грунта использование этого способа приведет к значительному занижению значения pо.
Марслэндом и Рэндольфом [1] был разработан новый метод, с помощью которого величина pо оценивается по кривой «p – y1» (напомним, что y1 – это относительное радиальное расширение скважины, то есть отношение увеличения ее радиуса из-за роста давления на (p–po) к ее радиусу в исходном состоянии при p=po).
Также может быть полезной кривая «давление p – объем V» (см. рис. 3) с учетом следующих моментов.
1. При идеальном прессиометрическом испытании небольшие положительные или отрицательные приращения давления по отношению к pо должны обеспечить сходные изменения объема.
2. Из первого пункта следует, что значение pо должно лежать на почти прямолинейном участке кривой «p – V», но вблизи изгиба, а не в начале линейной области.
3. Поскольку в идеально-упругопластическом материале увеличение pо на cu вызывает пластическую текучесть в глине рядом с зондом, то должно происходить заметное увеличение кривизны, когда давление превышает значение (pо+cu). Величина cu здесь является пиковой в соответствии с вышеупомянутым анализом по Пальмеру (Palmer, 1972). Поскольку для оценки этой величины должно быть определено значение pо, необходима некоторая итерация, посредством которой производится первоначальная оценка pо. Затем вычисляется cu, а потом выполняется проверка, чтобы определить, соответствует ли полученное значение (pо+cu) давлению, при котором кривая «p – y1» становится существенно нелинейной. Здесь Марслэнд и Рэндольф [1] отмечают, что этот метод использовался только для прессиометрических испытаний в полутвердой глине (для чего он особенно хорошо подходит, поскольку кривая «напряжение – деформация» является достаточно линейной вплоть до пиковых значений прочности). Но для анализа результатов испытаний более слабого грунта перед применением указанного метода необходимы дополнительные корреляции. (Применение данного метода авторы статьи [1] обсуждают во второй, практической, части статьи, обзор материалов которой будет сделан в следующий раз.)
Марслэнд и Рэндольф [1] напоминают, что после бурения скважины для испытаний прессиометром напряжение уменьшается от pо до γfz, где γf – удельный вес бурового раствора. Ссылаясь на Гибсона и Андерсона (Gibson, Anderson, 1961) они пишут, что если принять этот процесс разгрузки линейным и измерять последующие увеличения давления и объема относительно указанного исходного состояния, то зависимость для давления p на более поздних, пластических, стадиях испытания будет выглядеть так:

С помощью этой формулы можно оценить сu и pо. Предельное напряжение pL здесь оценивается путем построения графика зависимости давления p от следующей величины:

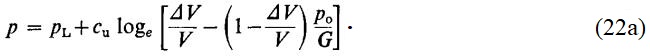
Однако, как отмечают авторы работы [1], принятие линейной разгрузки от pо до γfz не подтверждается на практике, если типичная кривая повторного нагружения является нелинейной на ранних стадиях (см. рис. 3). Чтобы преодолеть ошибки, вносимые допущением линейности указанной разгрузки, все давления и объемы должны измеряться относительно горизонтального напряжения in situ pо, а соответствующий объем рабочей камеры прессиометра Vо должен считываться с кривой «p – V».
Марслэнд и Рэндольф [1] приводят новую формулу для давления p, которая заменяет уравнение (22а):

где V – общий объем при давлении р; ΔV – изменение объема, равное (V–Vо), где Vо – объем при давлении pо.
Это уравнение подразумевает, что график зависимости p от logе(ΔV/V) должен быть почти линейным для более поздних этапов испытания при условии, что допущение об идеально-упругопластическом материале является разумным. Отсюда следует, что экстраполяция кривой к logе(ΔV/V)=0 (что соответствует непрерывному расширению рабочей камеры прессиометра, поскольку ΔV/V=ΔV/(Vо+ΔV)=1, откуда ΔV=∞) обеспечит хорошую оценку предельного напряжения pL. (Этот процесс Марслэнд и Рэндольф описывают во второй части статьи [1], обзор материалов которой будет представлен в следующий раз.)
—
Результаты испытаний, выполненных в лондонской глине, и их сравнение будут рассмотрены во второй части обзора материалов статьи Марслэнда и Рэндольфа [1]