Издательство «Геоинфо» подготовило к печати и передало в типографию книгу «Математические модели грунтов для инженеров» (авторы – А.Ю. Мирный и А.С. Мосина), объемом более 400 страниц. Эта монография, задуманная в первую очередь как практический справочник, содержит в себе необходимую теоретическую информацию по теории упругости, пластичности и ползучести, а также сведения о более чем 30 моделях, реализованных в наиболее популярных геотехнических расчетных комплексах, об их области применения и методике определения параметров. На книгу получены положительные рецензии профессоров Г.Г. Болдырева и А.Г. Шашкина.
Чтобы дать будущему читателю представление о стиле изложения и содержании книги, мы, с согласия авторов, раз в неделю до выхода книги опубликуем отдельные ознакомительные фрагменты.
Приобрести издание целиком Вы сможете уже в октябре 2024 года у авторов.
С актуальным содержанием монографии можно ознакомиться по ссылке: https://disk.yandex.ru/d/X-lHTOKrwOC2-A
Вероятно, исторически первой моделью, использующей гиперболический закон деформирования, была так называемая «модель А.И. Боткина», основанная на аналитических решениях, опубликованных А.И. Боткиным в конце 30-х – начале 40-х годов XX века [1, 2]. Эти публикации предшествовали значительно более известным в зарубежной литературе работам R. Kondner [3, 4], кроме этого, содержали некоторые решения, позволяющие развить модель с применением положений теории пластичности. Предложенная А.И. Боткиным математическая модель, помимо удачной аппроксимации экспериментально наблюдаемых зависимостей, содержит еще и условие прочности в инвариантной форме. К сожалению, современному специалисту эта модель практически неизвестна и упоминается только в работах отдельных исследователей, например А.Н. Алехина [5]. В данном разделе описание модели приводится на основании публикаций этого автора.
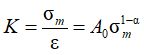
По существу, модель А.И. Боткина является обобщением модели Гука, но с нелинейными значениями модулей объемного сжатия K и сдвига G. Выбор именно этих констант упругости, вместо более привычных модуля общей деформации E и коэффициента относительного поперечного расширения н, представляется значительно более обоснованным для дисперсных грунтов, так как их объемная и сдвиговая жесткость обусловлены принципиально разными механизмами. Объемное сжатие связано с уменьшением объема порового пространства, следовательно, с ростом средних напряжений объемная жесткость возрастает:
Рис. 1. Паспорт прочности грунта (графическое представление модели А.И. Боткина). Цветом выделены зависимости, соответствующие одному опыту; черным показаны зависимости, полученные по совокупности опытов
Насколько известно авторам, в настоящее время модель А.И. Боткина в оригинальном виде не реализована в каких-либо распространенных численных программных комплексах. Тем не менее ее развитие представляется перспективным в связи с простотой и рациональностью используемых зависимостей.
Определение параметров модели А.И. Боткина, учитывая феноменологический характер используемых зависимостей, следут проводить путем подбора значений для достижения наилучшей аппроксимации экспериментальных кривых.
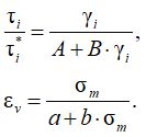
Применительно к крупнообломочным грунтам, используемым в качестве основания и материала гидротехнических сооружений, Ю.К. Зарецким гиперболический закон применялся для описания как объемного, так и сдвигового деформирования. Данная модель во многом напоминает модель А.И. Боткина, но обладает расширенными функциональными возможностями. Модель подробно описана в работах Ю.К. Зарецкого и его учеников [7, 8]. К сожалению, широкого применения модель не нашла, однако, по сведениям авторов, реализована в качестве пользовательской модели в ПК ANSYS и применяется единичными специалистами при проектировании земляных плотин.
В отличие от модели Duncan — Chang для описания жесткости использовался не линейный модуль деформации, а модули сдвига и объемного сжатия. Кроме того, использовались инвариантные величины компонентов НДС – интенсивность касательных напряжений и деформаций сдвига. В результате закон деформирования записывался следующим образом:
Рис. 3. Направление вектора приращения пластической деформации в различных точках поверхности текучести (черный) и его компонент сдвига (красный) и объемного сжатия (синий) в модели Ю.К. Зарецкого [7]
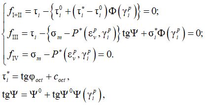
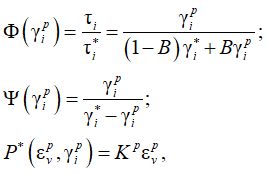
Упрочнение в модели связывает каждую из функций текучести для соответствующих участков поверхности (4) с пластической объемной деформацией, при этом функция упрочнения (Φ, Ψ, P) для каждого участка своя (5). Для упрощения восприятия в выражениях ниже используется система обозначений, принятая ранее в данной монографии.

(4)
где γip – интенсивность пластической деформации сдвига; εvp – пластическая объемная деформация; σm – среднее напряжение (нормальное октаэдрическое); τi, τi* — интенсивность касательных напряжений и ее предельное значение соответственно; φoct, coct – октаэдрические параметры прочности; Φ, Ψ, P – функции упрочнения.

(5)
где B – экспериментальный параметр; γi* — предельное значение интенсивности пластических деформаций; Kp – модуль объемной пластической деформации.
Максимально подробное описание модели с примером определения параметров на основании паспорта прочности приведено в учебном пособии В.В. Орехова [8].
К безусловным достоинствам модели Ю.К. Зарецкого следует отнести ее простоту и ясный физический смысл каждого параметра, ведь каждое входящее в модель выражение обосновано экспериментальными наблюдениями. В отличие от большинства современных моделей, эта модель может быть полностью определена на основании 3-6 опытов трехосного сжатия, что, собственно говоря, и сделало ее удобным инструментом для проектирования гидротехнических сооружений с применением крупнообломочных грунтов, для которых проведение многочисленных испытаний затруднено, а иногда и невозможно. Несмотря на кажущуюся сложность выражений (4) и (5), математическая постановка модели не требует сложных вычислений.
Таблица. Параметры модели Ю.К. Зарецкого и методы их определения
