Компания Rocscience, основанная в 1996 году на базе Университета Торонто в Канаде, является одним из мировых лидеров по разработке, усовершенствованию и распространению 2D и 3D программного обеспечения для инженеров-строителей, горных инженеров, инженеров-геологов и геотехников. На сайте этой компании недавно появилась статья «PM4Sand и PM4Silt – сопоставление RS2 с FLAC и PLAXIS» [1]. Предлагаем вниманию читателей адаптированный перевод этой статьи с привлечением информации из дополнительных источников [2–11].
Консультационную помощь редакции оказали сотрудники ООО «Современные Изыскательские Технологии» – официального представителя компании Rocscience в России.
Для регионов, подверженных землетрясениям, адекватное моделирование и выполнение динамического анализа геотехнических сооружений имеют решающее значение для эффективного выявления возможности разжижения грунтов, вызванного сейсмическими воздействиями.
Моделирование зависимостей между напряжениями и деформациями для различных типов грунтов может быть сложной задачей даже для статических условий. В динамических же условиях поведение грунтов бывает еще более сложным. Это говорит о сложности формулирования и выбора соответствующей комплексной геомеханической (конститутивной) модели, которая будет точно отражать поведение материалов.
В связи с этим пользователи программы RS2 недавно обратились в компанию Rocscience и настоятельно попросили добавить к основным комплексным геомеханическим моделям грунта, включенным в RS2, также PM4Sand и PM4Silt. И теперь обе эти модели доступны в последней версии RS2 [1]. (RS2 – это разработанный в компании Rocscience универсальный программный комплекс для 2D моделирования и анализа напряженно-деформированного состояния методом конечных элементов. Он может использоваться при подземных горных работах, для проектирования тоннелей, карьеров, котлованов и фундаментов, систем их крепления, для оценки устойчивости склонов и пр. В том числе RS2 имеет возможность выполнять динамический анализ поведения геотехнических сооружений при землетрясениях или других динамических нагрузках [2, 3].)
PM4Sand и PM4Silt – это изотропные пластические 2D модели, предоставляющие уравнения для точного анализа поведения соответственно песков и пылеватых грунтов (в том числе пылеватых супесей и пылеватых суглинков) при различных условиях нагружения, в том числе динамических. Они особенно необходимы для приложений по инженерной сейсмологии и сейсмостойкому строительству. Эти модели были разработаны Россом Буланже (Ross Boulanger) и Катериной Зиотопулу (Katerina Ziotopoulou) из Калифорнийского университета первоначально для программы FLAC в виде файла формата dll. В программе PLAXIS они доступны как модели грунта, определяемые пользователем [4–14].
Чтобы проверить надежность использования моделей PM4Sand и PM4Silt в программе RS2, полученные результаты были сопоставлены с таковыми при работе в программах FLAC и PLAXIS [1].
Чтобы сопоставить результаты использования комплексной геомеханической модели PM4Sand в RS2, FLAC и PLAXIS, в этих трех программах была выполнена серия виртуальных испытаний песчаного грунта на многоплоскостной сдвиг (direct simple shear) [15] при монотонном нагружении в дренированных и недренированных условиях, а также при циклическом нагружении в недренированных условиях.
Основные входные параметры для PM4Sand представлены в таблице 1.
Таблица 1. Входные параметры для верификации модели PM4Sand

Результаты виртуальных испытаний песчаного грунта на многоплоскостной сдвиг при монотонном нагружении в дренированных и недренированных условиях, представленные соответственно на рисунках 1 и 2, демонстрируют очень хорошее соответствие для программ RS2, FLAC и PLAXIS. Следует отметить, что во всех трех случаях нагружение выполнялось с контролем деформаций [1].

Рис. 1. Результаты виртуальных испытаний песчаного грунта на многоплоскостной сдвиг при монотонном нагружении в дренированных условиях при коэффициенте плотности (относительной плотности [16]) песка DR, равном 0,35 (а), 0,55 (б) и 0,75 (в), начальном вертикальном эффективном напряжении величиной 1Pатм и коэффициенте бокового давления грунта в состоянии покоя Ko=0,5 (при использовании модели PM4Sand в программах RS2, FLAC и PLAXIS)

Рис. 2. Результаты виртуальных испытаний песчаного грунта на многоплоскостной сдвиг при монотонном нагружении в недренированных условиях при коэффициенте плотности песка DR, равном 0,35 (а), 0,55 (б) и 0,75 (в), начальном вертикальном эффективном напряжении величиной ¼Pатм и коэффициенте бокового давления грунта в состоянии покоя Ko=0,5 (при использовании модели PM4Sand в программах RS2, FLAC и PLAXIS)
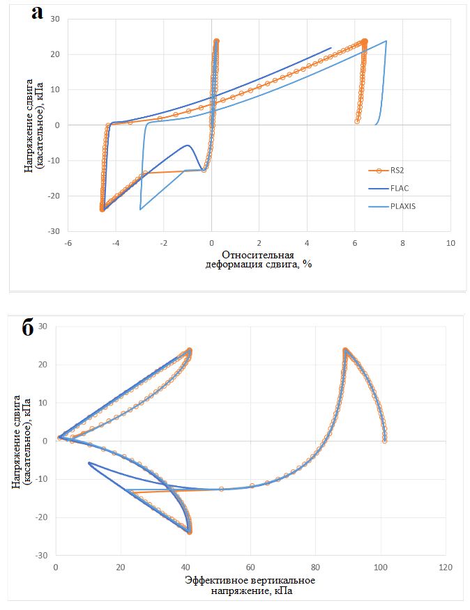
Результаты виртуальных испытаний песчаного грунта на многоплоскостной сдвиг при циклическом нагружении в недренированных условиях, представленные на рисунке 3, также демонстрируют хорошее соответствие для программ RS2, FLAC и PLAXIS. Хотя все же есть небольшие различия при более поздних циклах нагружения. Основными причинами этого являются различия в применении сдвиговой нагрузки и в критериях сходимости. В программе FLAC моделирование испытаний велось с контролируемыми деформациями, а направление приложения нагрузки изменялось при достижении определенного уровня напряжения сдвига. Тогда как в программах RS2 и PLAXIS моделирование выполнялось с контролируемыми напряжениями. Несмотря на то, что критерии сходимости между результатами работы во всех трех рассматриваемых программах широко используются на практике, незначительные ошибки в конце каждого этапа (цикла) нагружения могут накапливаться, если количество этапов очень велико. В остальном результаты, полученные в RS2, FLAC и PLAXIS, хорошо совпадают [1].

Рис. 3. Результаты виртуальных испытаний песчаного грунта на многоплоскостной сдвиг при циклическом нагружении в недренированных условиях при коэффициенте плотности песка DR, равном 0,35, начальном вертикальном эффективном напряжении величиной 1Pатм, коэффициенте бокового давления грунта в состоянии покоя Ko=0,5 и максимальном коэффициенте нагрузки τ/Pатм=0,147*1,6 (при использовании модели PM4Sand в программах RS2, FLAC и PLAXIS)
Три основных входных параметра для комплексной геомеханической модели поведения пылеватого грунта PM4Silt включают отношение недренированной прочности на сдвиг к полному вертикальному напряжению, которое будет приложено к образцу (su/σ‘vc), начальный модуль сдвига Go и параметр скорости сжатия hpo.
Входные параметры, использованные при верификации модели PM4Silt, приведены в таблице 2.
Таблица 2. Входные параметры для верификации модели PM4Silt

С использованием модели PM4Silt проводились виртуальные испытания пылеватого грунта на многоплоскостной сдвиг при монотонном нагружении с контролем деформаций в дренированных и недренированных условиях. Рисунки 4 и 5 демонстрируют хорошее соответствие результатов моделирования в программах RS2, FLAC и PLAXIS.

Рис. 4. Результаты виртуальных испытаний пылеватого грунта на многоплоскостной сдвиг при монотонном нагружении в дренированных условиях при отношении su/σ‘vc, равном 0,25 (а), 0,50 (б) и 0,75 (в), начальном вертикальном эффективном напряжении величиной 1Pатм и коэффициенте бокового давления грунта в состоянии покоя Ko=0,5 (при использовании модели PM4Silt в программах RS2, FLAC и PLAXIS)

Рис. 5. Результаты виртуальных испытаний пылеватого грунта на многоплоскостной сдвиг при монотонном нагружении в недренированных условиях при отношении su/σ‘vc, равном 0,25 (а), 0,50 (б) и 0,75 (в), начальном вертикальном эффективном напряжении величиной 2Pатм и коэффициенте бокового давления грунта в состоянии покоя Ko=0,5 (при использовании модели PM4Silt в программах RS2, FLAC и PLAXIS)
На рисунке 6 показаны результаты испытаний пылеватого грунта на многоплоскостной сдвиг при циклическом нагружении в недренированных условиях. Моделирование в программе FLAC проводилось с контролем деформаций, а направление приложения нагрузки изменялось при достижении определенного уровня напряжения сдвига. В то время как моделирование в RS2 и PLAXIS выполнялось с контролем напряжений. Из рисунка 6 видно, что имеется хорошее соответствие между результатами работы во всех трех рассматриваемых программах [1].

Рис. 6. Результаты виртуальных испытаний пылеватого грунта на многоплоскостной сдвиг при циклическом нагружении в недренированных условиях при отношении su/σ‘vc=0,25, начальном вертикальном эффективном напряжении величиной 1Pатм, коэффициенте бокового давления грунта в состоянии покоя Ko=0,5 и максимальном коэффициенте нагрузки τ/Pатм=0,2 (при использовании модели PM4Silt в программах RS2, FLAC и PLAXIS)
Благодаря включению в свой арсенал комплексных геомеханических моделей PM4Sand и PM4Silt программа RS2 получила больше функциональных возможностей для более точного прогнозирования потенциалов разжижения песчаных и пылеватых грунтов с помощью динамического анализа их поведения. Указанные модели теперь доступны в версии этой программы 11.017 (RS2 version 11.017). Все пользователи RS2 с активной подпиской Maintenance+ теперь будут иметь доступ и к PM4Sand, и к PM4Silt [1].