Ни в одном нормативном документе не указано, в каких диапазонах определять модуль деформации, зато указано, что условия должны соответствовать действующему или предполагаемому напряженному состоянию. При выполнении испытаний в строгом соответствии с ГОСТ 12248 или ГОСТ 20276 невозможно в принципе получить одинаковые или близкие значения модулей деформации даже для одной и той же разновидности грунта. Условия испытания определяются в каждом конкретном случае программой испытаний, в зависимости от глубины залегания и дополнительной нагрузки от сооружения. Тогда откуда же взялось убеждение в существовании неких «механических констант», почему при прохождении экспертизы требуется «попадание в модуль» и что делать тем, кому требуются точные данные?
Каждый специалист в области инженерных изысканий или геотехнического проектирования знает, что механическое поведение грунтов с большим трудом поддается количественной оценке. Это связано с огромным количеством факторов, влияющих на жесткость и сопротивление сдвигу – и с этого утверждения начинается большинство курсов механики грунтов. Между тем, без количественной оценки невозможен расчет, а значит невозможно и само геотехническое проектирование. Именно поэтому за десятки лет разработаны многочисленные методы испытаний, позволяющие определить те или иные параметры, позволяющие с приемлемой точностью выполнить расчет основания.
В зависимости от поставленных целей меняются и методы их достижения. Для типовых сооружений в простых инженерно-геологических условиях достаточно применения хорошо известной модели Кулона-Мора, на которой построены все методы расчета, изложенные в СП 22.13330.2016. Для более сложных ситуаций рекомендуются уже нелинейные модели и численные методы расчета, что также отражено в СП. Методы определения параметров также определяются в зависимости от геотехнической категории: наиболее достоверным считается штамповое испытание, далее следует стабилометр и, наконец, компрессионное сжатие.
К сожалению, на практике все не так гладко.
Механические свойства определяются не только разновидностью грунта, но и условиями конкретной площадки: действующим уровнем напряжений, режимом дренирования, скоростью нагружения. Помимо этого, даже один и тот же грунт будет менять свое поведение в процессе деформирования. В своей основополагающей работе по механике грунтов K. Terzaghi напрямую указывает, что модуль деформации при компрессионном сжатии увеличивается с ростом давлений – в этом можно убедиться, заглянув на стр.97 русского издания данной книги 1933 года. В дальнейшем это наблюдение подтверждено и развито ведущими европейскими исследователями – J. Ohde, N. Janbu и многими другими. Данный вопрос изучался и крупнейшими отечественными учеными. В 1931 году Н.М. Герсевановым было показано, что принцип линейной деформируемости (а, следовательно, и само понятие модуля деформации) применимы к грунту только в случае, если зависимость между напряжениями и деформациями линейна. Для определения общих деформаций необходимы дополнительные условия, например, зависимость коэффициента пористости от давления, индивидуальная для каждого грунта. Фактически это означает, что компрессионная кривая — закон сжимаемости — грунта является его уникальной интегральной характеристикой. А раз эта кривая нелинейна, то и значение модуля деформации не может быть постоянной величиной. Следует отметить, что в зарубежных странах компрессионную кривую так и воспринимают: для описания закона сжимаемости используется логарифмическая функция вместо линейной.
Позднее Н.А. Цытович указывал (Механика грунтов, 1983, стр. 67), что принцип линейной деформируемости справедлив только для грунтов «средней уплотненности при давлениях порядка 0,1-0,3 МПа». Такой уровень напряжений вполне соответствовал уровню практических задач середины XX века, когда требовалось с высокой скоростью возводить типовые и технически несложные здания. В результате на этом предположении была построена вся система нормативных документов, и с этого момента модуль деформации в инженерных расчетах стал восприниматься как некоторая константа, определяемая разновидностью грунта. Тем не менее, в НиТУ 127-55 «Нормы и технические условия проектирования естественных оснований зданий и промышленных сооружений» содержится следующий параграф:
44 (4.7). Характеристики грунтов, входящие в расчет деформации основания (модуль сжатия, коэффициент бокового расширения, угол внутреннего трения, удельное сцепление), определяются с учетом природного напряженного состояния грунта на основе исследований грунтов.
Впервые справочные значения механических параметров появились в СНиП II-Б.1-62. Таблица 13 данного документа содержит нормативные и расчетные величины для песчаных и глинистых грунтов безотносительно генезиса. В дальнейшем эта таблица была расширена для грунтов различного генезиса и в СП 22.13330 приведена как Приложение А. При этом использование значений из Приложения А допустимо только при предварительных расчетах сооружений геотехнической категории 2 (п. 5.3.20).
Отметим, что представленные в Приложении А значения параметров с 1962 года по настоящее время принципиально не изменились. Для оценки изменений, произошедших в области строительства за 60 лет, специальных знаний не требуется – достаточно простой наблюдательности. Типовое сооружение 1962 года – пятиэтажное кирпичное здание с фундаментом мелкого заложения. Типовое сооружение в наши дни – условно КС-2 – жилое здание высотой не более 100 метров с подземной частью глубиной не более 15 метров, из монолитного железобетона. Совершенно очевидно, что диапазоны нагрузок на основание несопоставимы, как и глубины заложения.
Текущая редакция СП 22.13330.2016 с изменениями 1,2 и 3 ни в одном параграфе не устанавливает рекомендуемых значений параметров деформируемости. В разделах 6 и 9 указывается, что «деформационные характеристики определяются с учетом диапазона», однако величина данного диапазона не регламентируется. При этом, как и в документе 1955 года, указано, что их следует определять с учетом природного напряженного состояния на основе непосредственных испытаний (пп. 6.4.8, 6.4.13, 9.7). В качестве рекомендуемых методов указаны трехосное и компрессионное сжатие, штамповые и прессиометрические испытания.
ГОСТ 12248-2010 позволяет определять модуль деформации методами трехосного и компрессионного сжатия. Однако и здесь нет жесткого указания диапазона, зато представлены требования по учету исходного напряженного состояния. В соответствии с п. 5.3.6.7, «Испытания для определения характеристик деформируемости водонасыщенных в природных условиях грунтов проводят при постоянном всестороннем давлении в камере σ3», а его величину принимают равным давлению консолидации σc (п. 5.3.6.11). Давление консолидации, в свою очередь «необходимо назначать в зависимости от предполагаемого напряженного состояния грунтового массива (с учетом расчетных нагрузок от сооружения и бытового давления)» — гласит п. 5.3.5.3. При интерпретации данных также нет конкретных рекомендаций: «5.3.7.6 При определении модуля деформации при КД испытаниях строят график зависимости (см. приложение И, раздел И.2). На графике принимают линейную аппроксимацию участков для заданных программой испытаний диапазонов напряжений». Таким образом, и уровень давлений, и диапазон давлений будут меняться от опыта к опыту, от площадки к площадке!
Это же относится к испытаниям компрессионного сжатия. В соответствии с п. 5.4.1.3 «Диапазон давлений, при которых проводят испытания, определяется в программе испытаний с учетом напряженного состояния грунта в массиве, т.е. с учетом передаваемых на основание нагрузок и бытового давления. Во всех случаях конечное давление должно быть больше бытового давления на глубине залегания образца грунта».
Аналогичная ситуация и в ГОСТ 20276-2012. Для штамповых испытаний согласно п. 5.4.1 «общее число ступеней давления после достижения давления, соответствующего вертикальному эффективному напряжению от собственного веса грунта σzg на отметке испытания, должно быть не менее четырех». Конкретная величина одной такой ступени определяется разновидностью грунта и составляет от 0,01 до 0,1 МПа. Для прессиометрических испытаний вообще не приводится никаких условий по давлениям, так как сам по себе метод построен на компенсации и превышении бытового горизонтального напряжения.
Подведем промежуточный итог. Ни в одном нормативном документе не указано в каких диапазонах определять модуль деформации, зато указано, что условия должны соответствовать действующему или предполагаемому напряженному состоянию. При выполнении испытаний в строгом соответствии с ГОСТ 12248 или ГОСТ 20276 невозможно в принципе получить одинаковые или близкие значения модулей деформации даже для одной и той же разновидности грунта. Условия испытания определяются в каждом конкретном случае программой испытаний, в зависимости от глубины залегания и дополнительной нагрузки от сооружения. Тогда откуда же взялось убеждение в существовании неких «механических констант»? И почему при прохождении экспертизы требуется «попадание в модуль»?
Требования нормативных технических документов обеспечивают надежность и безопасность проектируемых конструкций, а в случае ГОСТ – качество результата определения параметров. Если в ходе испытаний соблюдены все требования ГОСТ по части условий и методики проведения опыта, использовалось сертифицированное и поверенное оборудование, то достоверность результата опыта считается обеспеченной. Следовательно, задачей эксперта в данном случае должна являться оценка соответствия выполненной работы требованиям нормативного документа.
Безусловно, величина полученного параметра – тоже косвенный признак качества испытания, ведь у модуля деформации есть физический смысл. Величина не может быть, например, отрицательной, или на порядок превосходить часто встречающиеся значения. Подобные случаи должны являться основанием для более внимательного изучения результата испытания, условий проведения опыта, даже добросовестности лаборатории. Но ни в коем случае не может результат испытаний «подгоняться» под значения из нормативного документа 60-летней давности!
Делается это обычно довольно просто: диапазон определения параметра смещается с реальных условий работы основания в область, где модуль получится пониже. Проектировщик потом хватается за голову и проектирует свайный фундамент вместо плитного. Осадка по результатам мониторинга составляет 5 мм вместо 120, но из чьего кармана оплачен такой запас уже никто не выясняет.
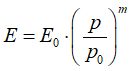
Вполне ожидаем контраргумент – а как эксперту оценить, насколько то или иное значение правдоподобно, если в нормативных документах и архивах нет этой информации? Для этих целей вполне можно использовать хорошо изученные закономерности изменения жесткости в зависимости от уровня напряжений, например, степенной закон N. Janbu:

,
где E – ориентировочное значение модуля; E0 – модуль деформации из приложения А, p – давление в опыте; p0 – давление в диапазоне 100-200 кПа; m – показатель силы данной зависимости, лежащий в диапазоне от 0,3 до 1.
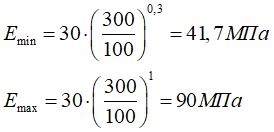
Даже в таком, сильно упрощенном виде, он позволит оценить предельные значения параметра. Например, испытание трехосного сжатия для песка мелкого средней плотности при давлении в камере 300 кПа дало модуль деформации в 70 МПа. В Приложении А говорится, что должно быть 30 МПа (диапазон напряжений там не указан, но можно предположить привычные 100-200 кПа).

Полученное значение попадает в границы диапазона, результат испытания может считаться правдоподобным. Однако, повторимся, верные условия проведения опыта (включая содержание технического задания и программы работ) являются основным гарантом качества результата.
В настоящий момент сложилась печальная ситуация. Сложность проектируемых сооружений растет, а вместе с ней и требования проектировщиков к определяемым параметрам. Изыскательские организации располагают оборудованием для проведения высокоточных испытаний в любых диапазонах напряжений. Испытания выполняются (во всяком случае, когда в этом заинтересованы заказчик и исполнитель) с учетом исходного напряженного состояния. Но для прохождения экспертизы механические параметры подгоняются под уровень развития геотехники 1962 года.
Виновато в этом в первую очередь профессиональное сообщество. Недостаточное понимание принципов механики грунтов и вообще применимости понятия «модуль деформации» к грунту приводит к желанию проверить себя справочными данными. В качестве источника таких данных берется нормативный документ – что может быть надежнее? Испытание за испытанием дает одно и то же значение модуля (чтобы штампов делать поменьше, а коэффициент вариации был пониже). Эксперт раз за разом видит это значение, и отчеты успешно отправляются в архив. Песок средней плотности средней крупности получает клеймо «E0 = 30 МПа».
Данный вопрос давно требует открытого общественного обсуждения, с привлечением представителей изыскательского и проектного профессиональных сообществ, экспертизы и профильных научных организаций.