Механическое поведение дисперсных грунтов при динамическом воздействии может оцениваться в ходе специализированных лабораторных испытаний, однако этого недостаточно для выполнения расчетов. Необходимо также определять параметры, характеризующие способность грунта проводить колебания либо поглощать их. Для этого используется особый метод испытания – метод резонансной колонки.
Новая статья из цикла о лабораторных методах испытаний посвящена особенностям проведения данных испытаний.
В прошлой статье из данного цикла рассматривались испытания методом динамического трехосного сжатия, позволяющие смоделировать поведение дисперсных грунтов под воздействием нагрузок различной частоты и амплитуды. Но при выполнении динамических расчетов (например, в случаях, когда необходимо оценить параметры сейсмического воздействия, передающегося от основания к сооружению) требуется оценивать способность грунта передавать и поглощать энергию, то есть описать его демпфирующие свойства.
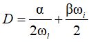
Известно несколько способов учета демпфирования в расчетах. Одним из наиболее простых и распространенных является демпфирование по Рэлею. Предполагается, что коэффициент демпфирования D (степень поглощения энергии материалов) для каждой частоты вычисляется по формуле:

,
где α — коэффициент пропорциональности массы, β — коэффициент пропорциональности жёсткости, ωi – частота, для которой выполняется расчет.
Из уравнения следует, что коэффициент демпфирования зависит от частоты колебаний. Следовательно, для его определения необходимо количественно оценить степень поглощения энергии при различных частотах воздействия. С учетом специфики грунтовой среды, для этих целей сконструирован специальный тип приборов – резонансная колонка.
Конструктивно резонансная колонка напоминает камеру трехосного сжатия типа А: цилиндрический образец в эластичной мембране помещен в герметичную камеру, есть возможность создания всестороннего обжатия (изотропный режим, Stokoe type) и дополнительной вертикальной нагрузки (анизотропный режим, Hardin type). Различие заключается в дополнительном виде нагружения – к верхнему штампу можно прикладывать вращательные колебания малой амплитуды и произвольной частоты. В зависимости от поставленной задачи могут быть реализованы различные режимы нагружения.
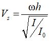
Плавное увеличение частоты воздействия с измерением амплитуды колебаний позволяет определить частоту собственных колебаний образца (резонанса) ω и скорость прохождения поперечных волн Vs:

,
где h – высота образца, I, I0 – моменты инерции образца и рамы, соответственно.
Учитывая, что диапазон деформаций сдвига составляет не более 10-6…10-4, возникающую деформацию можно считать абсолютно упругой. Следовательно, может быть определен модуль сдвига G при сверхмалых деформациях:

,
где ρ – плотность образца.
По длительности затухания свободных колебаний образца, либо по ширине резонансной кривой вблизи частоты собственных колебаний можно определить коэффициент демпфирования D – процедура описана в ГОСТ 56353-2015.
С увеличением амплитуды колебаний модуль сдвига G обычно снижается (деградирует). Это объясняется частичным разрушением исходной структуры грунта. Коэффициент демпфирования D при этом, наоборот, возрастает – то есть образец поглощает все больше энергии воздействия. Результатом испытания в резонансной колонке обычно являются зависимости G(γ) и D(γ), позволяющие при последующем расчете получить необходимые параметры при различных уровнях деформаций.
Несмотря на кажущуюся простоту, практическая реализация резонансной колонки представляет собой непростую инженерно-конструкторскую задачу – такие приборы есть в ассортименте лишь нескольких производителей. Основную сложность представляет создание малоамплитудных крутильных колебаний. Для этого могут применяться различные конструкции привода, различающиеся способом закрепления образца. В некоторых конструкциях вращающий момент прикладывается к нижнему штампу, а на верхнем размещается свободная сопряженная масса с измерительной системой. Данная компоновка достаточно громоздка, кроме того, непригодна для слабых образцов, которые могут разрушиться до начала испытания. В настоящее время чаще встречается конструкция, в которой нижний торец образца жестко закреплен, а вращающий момент прикладывается к верхнему посредством электромагнитной системы. Там же с помощью акселерометров производится и измерение отклика образца. В частности, такая конструкция разработана и производится ООО НПП «Геотек».
Создание данного прибора потребовало многолетней подготовки и изучения особенностей его конструкции, преимуществ и недостатков. Реализация малоамплитудных колебаний (порядка 10-6) в совокупности с высокой частотой (до 200 Гц) требует применения высокоточной измерительной системы с быстродействующей обратной связью. Помимо этого, к установке предъявляются повышенные требования помехозащищенности электрических цепей. В результате удалось создать достаточно компактный и удобный в эксплуатации прибор, не имеющий аналогов на международном рынке. Подобные испытания востребованы при решении геотехнических задач о взаимодействии конструкций с основанием в условиях динамического нагружения. Это могут быть гидротехнические сооружения, подверженные воздействию волн или вибрации от генераторов электростанций, объекты атомной энергетики, транспортные объекты.
Кроме этого, метод резонансной колонки позволяет определять начальный модуль сдвига грунта G0, необходимый для обоснования моделей механического поведения с нелинейной упругостью (например, Hardening Soil Small-strain). Необходимо отметить, что точность определения в этом случае значительно выше, чем при использовании прибора динамического трехосного сжатия, так как измерение сверхмалых деформаций выполняется точнее.
Процедура проведения испытаний методом резонансной колонки определена ГОСТ 56353-2015, однако высокая стоимость данного оборудования до недавнего времени существенно ограничивала возможности изыскательских организаций. ООО НПП «Геотек» предлагает резонансную колонку собственной конструкции, функциональные возможности которой не уступают зарубежным аналогам, а стоимость существенно ниже. В состав комплекса входит необходимое оборудование для создания статического вертикального воздействия и вращательных колебаний, давления в камере и поровом пространстве, а также необходимая измерительная аппаратура. Испытания проводятся в автоматизированном режиме с контролем всех параметров испытания в режиме реального времени. Также по специальному заданию возможно изготовление универсальной установки, позволяющий выполнять испытания методом резонансной колонки и методом динамического трехосного сжатия в одном нагрузочном устройстве.
Более подробную техническую информацию можно получить у специалистов компании или на сайте www.npp-geotek.ru.