В настоящей статье на отечественном и зарубежном материале рассматриваются инновационные технологии статического зондирования. Приводится углублённый анализ методов обработки и интерпретационных процедур для материалов зондирования.
В декабре 2017 года в журнале «ГеоИнфо» была опубликована небольшая статья «Это удивительное СРТ», которая прошла почти незамеченной: ни положительных откликов, ни критики… Стало ясно, что поднятые проблемы затрагивают очень тонкую прослойку изыскателей… Подумаешь, какая-то заграничная методика, требующая усидчивости, вдумчивости, значительного опыта работы на компьютере в интерактивном режиме! А ещё надо разбираться в специальной программе обработки данных, в статистических выкладках, понимать, как на результат влияют заданные условия обработки данных. Кто в изыскательских кругах в условиях сплошного дефицита средств и времени может себе такое позволить? Да и зачем, если ни у заказчика, ни у исполнителя, ни в экспертизе особого интереса к этому методу ни возникает? Формально выполнили, ну и хорошо, поставьте на полку! Сейчас в изыскательской практике такое отношение культивируется к любому затратному интеллектуальному методу: хоть к бурению, хоть к зондированию, хоть к прессиометру. В общем, знакомая ситуация, длящаяся ни один год.
Обратимся к послесловию в расширенной публикации автора 2010 года «Проблемы инновационного развития статического зондирования»:
«Как видно из приведённого материала, вопросы, связанные со статическим зондированием, чрезвычайно разнообразны и затрагивают различные стороны изыскательской работы: от организационно-технических до серьёзных теоретических исследований.
Можно предположить, что адаптация углублённого анализа материалов зондирования на российской почве будет весьма непростой. Слишком косными и отсталыми выглядят наши изыскания, лишённые новых технологий и зажатые в тиски устаревших нормативных документов на фоне общей недооценки научных разработок. Современное статическое зондирование, пожалуй, как ни один другой вид инженерно-геологических исследований, требует в комплексе решения сразу нескольких сложных проблем: новая техника (изготовление, метрология, обслуживание), специфическая технология, специальные кадры операторов и интерпретаторов, программное обеспечение. Исследования зарубежных коллег ясно показывают, насколько необходимы в этой области специальные научно-исследовательские работы. В настоящее время в связи с переходом всей строительной отрасли народного хозяйства на принципы саморегулирования (СРО) появилась надежда на серьёзное реформирование изыскательской работы по основным направлениям. Это реформирование должно охватить проблемы внедрения новой техники и технологий на основе новых Технических Регламентов, а не догматических нормативных документов, которые в современной обстановке изначально предопределяют конфликтные ситуации между изыскателями, проектировщиками и органами экспертизы. Нужны хорошо подготовленные кадры операторов различной и весьма сложной техники (их пока никто не готовит). Необходимо в высшей школе совместно с производственными организациями подготавливать кадры аналитиков – интерпретаторов, владеющих всеми видами комплексного подхода к любой инженерно-геологической обстановке. Не менее, если не более, нужна новая атмосфера понимания задач и перспектив развития инженерных изысканий, сотрудничества инженер-геологов, геотехников и строителей для самого широкого применения этого прогрессивного метода инженерно-геологических изысканий».
Тем не менее, переписка автора с конкретными специалистами показывает, что существуют люди, для которых развитие СРТ не пустой звук и некоторый сиюминутный «хайп», а сознательная и долгосрочная политика. Именно для таких людей и предлагается продолжить обсуждение основных аспектов интерпретации результатов статического зондирования, выросшее из довольно детального знакомства с работами проф. П.К. Робертсона и его коллег по цеху, и из наблюдений за развитием этого метода в России. Разобьём объёмный материал на несколько частей. Итак, первый (вводный) раздел.
Применение статического зондирования в инженерно-геологических изысканиях стало общепризнанным делом. Многие изыскательские организации используют самую совершенную зондировочную технику и соответствующие технологии, обычно закупаемые за рубежом. Однако интерпретация материалов зондирования в большинстве случаев носит крайне узко прикладной характер. В простейшем случае это подтверждение деления геологического разреза на инженерно-геологические элементы, обычно устанавливаемые на основе бурения разведочных скважин, в лучшем – выход на некоторые нормативные эмпирические коррелятивные зависимости между параметрами зондирования и показателями физико-механических свойств. Несколько лучше обстоит дело с использованием результатов зондирования для определения несущей способности свай. Однако, вопрос о том, в какой мере при этом использовать замеры боковых сопротивлений по муфте трения остаётся открытым. В большинстве случаев расчёт ведётся по указаниям СНиП 2.02.03-85 (п. 5.11), в Петербурге со ссылкой на рекомендации ТСН 50-302-2004. Однако в этих расчётах часто неоправданно используется понижающий коэффициент 1,25, называемый коэффициентом надёжности. При наличии не менее шести точек зондирования данный коэффициент следует рассчитывать на основе реального коэффициента вариации выполненных расчётов, что в большинстве случаев существенно увеличивает расчётные величины [1].
При интерпретации материалов зондирования почти никогда не рассматриваются теоретические представления отечественных или зарубежных авторов о самой модели процесса зондирования. В текущей отечественной периодике, посвящённой инженерным изысканиям, вообще не видно современных работ, связанных с развитием метода статического зондирования. Хуже того, постоянно возникают инсинуации по поводу якобы весьма ограниченных возможностей данного метода, и культивируется его использование только в рамках устаревших и во многом ошибочных ГОСТ 19912 и интерпретационных таблиц СП 11-105.
Между тем, в технологически развитых странах именно статическое зондирование стало ведущим методом исследования грунтов «in-situ», ему посвящаются самые серьёзные теоретические разработки и практические обобщения [2], например, работа профессора П.К. Робертсона «Интерпретация статического зондидирования – комплексный подход» (Interpretation of Cone Penetration Tests – a unified approach) [3].
В указанной работе обращается внимание на новые данные, накопленные в практике применения статического зондирования в различных странах и направленные на самое широкое использование нормализованных моделей поведения грунтов – normalized Soil Behaviour Type (SBTn), основанных на применении откорректированных и нормализованных значений лобовых (qt) и боковых (ft) сопротивлений. Указанные модели представляют собой классификационные палетки, пришедшие на смену точечным диаграммам, предложенным в своё время П.К. Робертсоном (Robertson at al., 1986) [4]. Классификационные поля на данных диаграммах ограничены критическими линиями состояний (Critical State Line) для широкого спектра песчано-глинистых грунтов. При этом особое внимание уделяется вопросу выделения переходных зон от грубозернистых несвязных грунтов к тонкозернистым связным и обратно, с чем постоянно приходится сталкиваться в ходе зондирования. Закономерности изменения различных показателей состава и свойств грунтов в границах отдельных областей всесторонне обоснованы, как со стороны накопленного эмпирического материала, так и теоретических представлений о влиянии напряжённого состояния грунтов на результаты замеров лобовых и боковых сопротивлений. С этой стороны особенно важным моментом оказалась связь чистого сопротивления конусу (qt – σv0) со скоростями поперечных сейсмических волн (Vs), что позволяет построить стройную теоретическую модель связи параметров зондирования, деформационных и прочностных характеристик грунтов непосредственно в массиве.
Развитие и углубление методов интерпретации результатов зондирования в рамках SBTn разворачивается на базе сопоставления с унифицированной системой классификации грунтов по британским и американским регламентам (Unified Soil Classification System – USCS), основанной на показателях грансостава и пластичности.
Сразу отметим, что ничего подобного в практике отечественных инженерно-геологических изысканий не наблюдается. В силу различных применяемых критериев оценки состава, состояния и свойств грунтов сопоставление USCS с российскими нормативными оценками крайне затруднено.
Отмечается, что расхождения между системами оценки состояния и свойств грунтов по результатам зондирования и USCS могут быть весьма существенными [2,3]. Например, в тонкозернистых грунтах с низкой пластичностью (в практике отечественных изысканий это песчанистые супеси, песчанистые суглинки и т. п.), где поведение существенно контролируется песчаной составляющей, зондирование может показать грунты, относимые по SBT к категории песков или алевритов (silty sand to sandy silt). Наоборот, – в тонкозернистых грунтах с высокой пластичностью (супеси и суглинки пылеватые) зондированием по SBT будут идентифицироваться грунты от глинистых алевритов до алевроглин (clayey silt to silty clay). Более того, жёсткие переуплотнённые глины при пенетрации могут вести себя подобно грубозернистым грунтам и показывать высокие значения сопротивления недренированному сдвигу.
Основываясь на сложностях обоснования интерпретационных моделей грунтов, проф. Робертсон вводит в практику оценки полноты и глубины исследований понятие о геотехническом риске, хотя по сути дела речь идёт не о риске в трактовке его как уровня опасности, а о категориях сложности исследования строения и свойств грунтовых массивов естественного сложения с использованием современных методов полевых и лабораторных работ. Соответственно применение статического зондирования и расширенной процедуры интерпретации результатов следует относить к высокому уровню сложности (высокий геотехнический риск, по П.К. Робертсону).
По сути дела, в указанном выше труде [3] речь идёт о дальнейшем развитии методов интерпретации результатов зондирования, заложенных трудами Робертсона, Кампанеллы, Лунна и Мейна в период 1983 – 2007 годов (Robertson and Campanella, 1983; Lunne et al., 1997; Mayne, 2007). Практическое применение этих разработок было закреплено в рекомендациях Международного общества по механике грунтов и фундаментостроению по производству статического зондирования – International References Test Procedure 1989, 1997. Эти рекомендации широко применяются во всём мире, за исключением России, где на фоне достаточно широкого использования новой зондировочной техники стараются упорно не замечать новых интерпретационных возможностей в данной области. Для реализации этих возможностей, прежде всего, необходимо зондирование с измерением динамического порового давления (u2) и внедрения опытов по диссипации порового давления для получения представлений о природном поровом давлении (u0) (М.С. Захаров, 2005, 2009) [5,6]. Однако такая технология требует дополнительных финансовых расходов (специальные зонды, обученные кадры, дополнительное время производства опытов). Если изыскатели и готовы к такому развитию событий, то заказчики (инвесторы) различного рода далеко не всегда понимают всех преимуществ данной технологии, а, следовательно, и не стремятся оплачивать такие работы. Хотя многочисленные примеры, в том числе приведённые в журнале «ГеоИнфо», показывают, что передовые технологии изысканий, в том числе статическое зондирование, могут существенно сократить время проектирования и повысить надёжность принимаемых конструктивных решений. А сокращение времени ПИР (проектно-изыскательских работ) в целом позволяет быстрее вводить в строй объекты капитального строительства, когда 1–1,5 месяца досрочной сдачи объекта оборачиваются, как минимум, 1% экономии капитальных затрат. Всё это должно служить экономическим основанием для развития метода статического зондирования в нашей стране и вообще внедрения новой техники изысканий.
При этом ясно, что применение статического зондирования связано с повышенной степенью общей сложности инженерно-геологических изысканий, во-первых, из-за внезапных отказов и неисправностей оборудования, прежде всего зондов, представляющих весьма чувствительные электронные измерительные системы, во-вторых, со сложностями интерпретационных процедур, требующих всестороннего рассмотрения геологических условий региона, специального программного обеспечения и опытных кадров.
Согласно представлениям проф. Робертсона, изыскательские программы низкой степени сложности (риска) могут базироваться на применении зондирования без замера порового давления и использовании традиционных консервативных методов пробоотбора и оценки грунтов. Автором данной статьи предложено относить такого рода статическое зондирование к нулевому классу, когда интерпретация результатов зондирования осуществляется по сокращённой процедуре [7].
Применение сейсмических зондов, замеры порового давления, опыты по диссипации порового давления, равно как использование любых других новых методов, несомненно, повышает уровень сложности всего комплекса изыскательских работ. При этом указанные методы могут поддерживаться выборочным опробованием и традиционными лабораторными методами, но корреляция между ними носит сугубо локальный характер. Такие изыскательские программы можно оценить в рамках умеренной сложности с повышением стоимости работ в 1,2–1,5 раза.
Программы с высоким уровнем сложности направлены на решении наиболее сложных геотехнических задач, когда необходимо в пределах грунтового массива надёжно выделить критические зоны, чётко и обоснованно разделить грунты разного состава, состояния и свойств.
При этом корреляция результатов зондирования затрагивает уже специальные лабораторные методы и должна учитывать накопленный опыт в сходных инженерно-геологических условиях, в том числе и международный опыт. Для выделения и прослеживания таких критических зон рекомендуется создание опорных профилей (с шагом между точками зондирования около 1 м) с опробованием разреза при помощи самих многофункциональных зондировочных установок и тонкостенных пробоотборников, а также проверка состояния грунтов на основе выполнения зондирований 2-го или 3-го классов, когда замеры порового давления и процедуры тщательной тарировки всех измерительных систем становятся обязательными. Удорожание такого вида исследований может достигать 100%, а иногда и более, по сравнению с программами, основанными на так называемых нормативных указаниях. В связи с высокой стоимостью таких исследований необходимо, прежде всего, тщательное согласование технического задания на изыскания между изыскателями и проектировщиками с указанием задач, которые предполагается решить с помощью зондирования.
Развитие расширенных интерпретационных подходов к результатам статического зондирования очевидно связано с пониманием тесной связи теоретических и экспериментальных данных о поведении зонда в различных грунтах. В общем случае реальное поведение грунта как многофазной системы, находящейся в условиях сложного напряжённого состояния, при проникновении в него конусного зонда, насыщенного различными датчиками, не может быть сведено к упрощённым модельным представлениям. Это обстоятельство определяет преобладание полуэмпирических зависимостей в практике интерпретации результатов зондирования, но большинство таких зависимостей, по мнению проф. Робертсона, могут быть поддержаны и теоретическими представлениями. В основе таких представлений лежат очевидные факты дренированного характера процесса пенетрации в грубозернистых грунтах и недренированного – в тонкозернистых грунтах. Практически решение этих вопросов упирается в необходимость замеров порового давления в грунтах и прослеживание динамики его изменений.
Согласно международной процедуре зондирования (IRTP, 1999) проблема изменения порового давления в грунтах рассматривается применительно к замерам, которые производятся с помощью камеры, расположенной непосредственно за конусным наконечником (u2). Последние конструкции зондов в настоящее время имеют равноплощадные концы муфты трения, что позволяет производить корректировку замеров только лобовых сопротивлений (qc), оставляя без изменений замеры боковых сопротивлений (fs). При этом корректировка лобовых сопротивлений в грубозернистых грунтах, в том числе и песках, столь незначительна, что при интерпретации результатов возможно использование первичных замеров (qt ~ qc). Однако в тонкозернистых грунтах такое допущение было бы крайне ошибочным. Из этого следует, что в сложных слоистых разрезах, где наблюдается многократная смена типов грунтов, введение поправок на поровое давление становится методически необходимым для всего массива полевых наблюдений.
Опыт зондирования, накопленный по работам на суше, показывает, что проблема точности замеров порового давления во многих случаях упирается в переменное состояние насыщения измерительного датчика камеры порового давления в ходе движения зонда через различные слои грунтов. В этом случае становится важна сама процедура насыщения камеры порового давления и измерительного элемента, а также выбор насыщающей жидкости.
Например, применение силиконового масла, отличающегося повышенной вязкостью по сравнению с обычно применяемым глицерином, значительно уменьшает потерю полного насыщения камеры, хотя и не снимает эту проблему полностью. В этом отношении перспективой является внедрение щелевых фильтров, размер отверстий которых вообще исключает вытекание наполнителя камеры. Благодаря разработкам ООО «Геотест» (г. Екатеринбург») с 2015 года налажен выпуск зондов со щелевыми фильтрами (зонд А4/350) и применяется технология заполнения внутренней полости пьезоконуса специальными жидкостями («Среда 1» и «Среда 2») с помощью сменных картриджей и шприца со специальным уплотнением, исключающим разгерметизацию картриджей (рис. 1 и табл. 1)

Рис. 1. Общий вид зонда со щелевым фильтром производства ООО «Геотест» (г. Екатеринбург)
Таблица 1. Основные характеристики фильтрационной камеры и датчиков порового давления
|
Наименование параметра или характеристики |
Номинальное значение характеристики |
|
Площадь поперечного сечения конуса зонда, см2 |
10 |
|
Высота щели фильтра, мм |
0,30±0,05 |
|
Объём внутренней полости фильтрационной камеры, см3 |
1, 15 |
|
Материал заполнения внутренней полости камеры («Среда 1») |
ЦИАТИМ-201 ГОСТ 6267-74 |
|
Комплементарная жидкость («Среда 2») |
Масло И-12А ГОСТ 20799-88 |
|
Рабочее давление, кПа |
От -85 до 2000 |
|
Диапазон температур эксплуатации |
0…60С° |
|
Диапазон температур хранения в законсервированном виде |
От -60 до +90С° |
Подробную характеристику зонда можно найти в красочном каталоге предприятия (www.geotest.ru). Серийный выпуск отечественной аппаратуры типа ТЕСТ-К4М имеет громадное значение для изыскательских организаций, хотя подобное оборудование можно найти у зарубежных производителей, например, в Швеции (www.geotech.se или www.еnvi.se), но по значительно более высокой цене. Важно подчеркнуть, что в состав комплекта ТЕСТ-К4М включён инклинометр для наблюдения за искривлением зондировочной скважины, что важно для точного определения границ различных слоёв и для предотвращения излома зондировочной колонны.
Вытекание наполнителя камеры может наблюдаться прежде всего в зоне аэрации. Чтобы избежать указанного эффекта, рекомендуется при неглубоком залегании грунтовых вод производить предварительную заливку зондировочной скважины водой и проверку показаний датчика порового давления по графику гидростатического давления. Пример такого рода проверки приведён на рисунке 2.

Рис. 2. График изменения динамического порового давления по К1
Однако подобные эффекты наблюдаются и при проходке переуплотнённых глин или плотных пылеватых песков (в англоязычной литературе к пылеватым пескам (англ. sand silty) относят грунты, в которых при содержании песчаных фракций (0,063–2 мм) более 40% наблюдается содержание до 20% алевритовой (пылеватой) фракции (англ. silt). Также применяется термин «очень пылеватые пески», если содержание алевритовой (пылеватой) фракция лежит в интервале 20–35%), в которых в силу сдвиговых деформаций, вызванных внедрением конуса, развивается дилатансия. В этом случае могут фиксироваться даже отрицательные значения порового давления, что достаточно часто наблюдается при зондировании, например, на территории Санкт-Петербурга. На изменение наполнения камеры порового давления влияет ещё выделение из наполняющего раствора мелких пузырьков воздуха, в результате чего датчик порового давления работает в нестационарном режиме.
Таким образом, в ходе движения зонда через сложно построенные геологические разрезы камера порового давления может несколько раз менять степень своего насыщение, при этом очень трудно точно отслеживать границы смены этих состояний. Эта проблема снимается, если вести насыщение камеры в условиях вакуума, но это требует специального оборудования и дополнительного времени для подготовки зондов к работе. Подобная картина возвратного движения защемлённых пузырьков воздуха позволяет предположить, что в опытах по диссипации тоже может происходить обратное насыщение камеры зонда, даже если первоначально полное насыщение было утрачено. Как бы то ни было, корректировка лобовых сопротивлений с помощью поправок на поровое давление имеет громадное значение для уменьшения влияния так называемых концевых эффектов и интерпретации моделей поведения песчано-глинистых грунтов в условиях их частого переслаивания.
В настоящее время в американские регламенты для производства статического зондирования ASTM, D5778 (2000) заложены жёсткие требования к конструкции муфт трения для того, чтобы минимизировать влияние порового давления при различной площади концов муфты. По сравнению с замерами лобовых сопротивлений замеры бокового трения имеют ограниченное, но очень важное применение, исходя из предположения равенства замеров по муфте трения с сопротивлением перемятого (англ. remolded) грунта прямому срезу в недренированных условиях, т.е.
su (remolded) = fs
Это, в свою очередь, позволяет использовать результаты зондирования для оценки физического состояния тонкозернистых глинистых грунтов через показатель чувствительности, т.е. отношение сопротивления грунта недренированному прямому срезу при естественном и нарушенном сложении su/su (remolded).
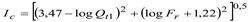
Для нормализованных значений лобовых сопротивлений и коэффициента трения с учётом эффективных напряжений чувствительность нормально консолидированных связных грунтов (NC) определяется выражением [3]:
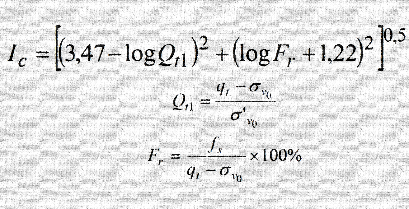
Рис. 3. Классификационная зональная диаграмма для определения типа грунта (SBT) в зависимости от показателя Ic (по П.К. Робертсону, 2009)
В период с 1991 по 2006 год разными авторами (Jeffries and Davies, 1991, 1993; Olsen and Mitchel, 1995; Eslami and Fellenius, 1997; Zhang and Tumay, 1999; Jeffries and Been, 2006) были предложены различные модификации нормализованных диаграмм дифференцированно для грубозернистых несвязных и тонкозернистых связных грунтов с учётом эффективных вертикальных напряжений, определяющих работу зонда в различных грунтовых средах. Основным среди указанных предложений остаётся зональный график SBTn, который представляет общую модель связи нормализованных параметров зондирования и типологического комплексного индекса испытуемых грунтов Ic (Робертсон и др.,1986; Робертсон, 2009) [2,3,4]:
Рис. 4. Диаграмма связи показателя n с нормализованными параметрами зондирования для различных типовых моделей грунтов (по П.К. Робертсону, 2009)
Отмеченная нелинейность зависимостей более ярко выражена в плотных песках по сравнению с рыхлыми песками. Ещё в 1986 году Болтон (Bolton, 1986) на основе опытов с песками различной плотности доказал, что при значении экспоненты напряжений близкой к 1,0 в плотных песках при высоких напряжениях свободная дилатансия подавляется и происходит дробление минеральных зёрен [11]. Уровень напряжений, при которых происходит дробление зёрен в песках, является функцией их природной плотности и сжимаемости, однако этот процесс затрагивает непосредственно лишь рабочую зону вокруг конуса. На рис. 4 показано, что для тонкозернистых грунтов значение n может быть равным 1,0, в то время как для грубозернистых грунтов при невысоких значениях вертикальных напряжений оно лежит в интервале от 0,5 до 0,9. Когда же эти напряжения превышают 1 МПа, для большинства грунтов n превышает 1,0.
Следует отметить, что ещё в конце прошлого века зарубежные фирмы стали усиленно разрабатывать технологию бескабельного зондирования, что позволяет вести непрерывное внедрение зонда без остановки для свинчивания штанг, внутри которых прокладывался коммутационный кабель для передачи сигналов. Коммутация измерительной линии в этом случае осуществляется прямо по штангам зонда. Акустический способ передачи данных непосредственно на интерфейс зонда успешно отрабатывался шведской компанией GEOTECH (г. Гётеборг) в приложении к многофункциональным зондировочным установкам (рис. 5).

Рис. 5. Принципиальная схема акустического зондирования и комплект бескабельного оборудования компании «GEOTECH AB». 1 – наконечник зонда; 2 – акустический трансмиттер; 3 – микрофон; 4 – измеритель глубины зондирования; 5 – накопитель преобразователь данных (интерфейс); 6 – компьютер (полевой логгер)
Следует подчеркнуть, что одновременно стала разрабатываться система акустических зондов с памятью, позволяющая не только передавать сигналы звукового передатчика на микрофон, но и записывать их на флэш-память (см. www.envi.se), что значительно повышает надёжность всей системы зондирования (рис. 6).

Рис. 6. Общий вид зонда «Memocone» с акустическим режимом производства компании ЭНВИ (www.envi.se)
Отметим, что отечественный производитель ООО «Геотест» (г. Екатеринбург) пока отказался разрабатывать и производить зонды со встроенной памятью, мотивируя это опасностью потери сложного и дорогого оборудования при изломе штанг зонда. Система бескабельной передачи данных зондирования успешно внедрена в производство с 2015 года (www.geotest.ru) (рис.7), но по свидетельству производителя пользуется слабым спросом.

Рис. 7. Общий вид комплекта бескабельной передачи данных зондирования БПД1 производства ООО «Геотест» (г. Екатеринбург)
Рассмотренные выше материалы показывают непрерывное развитие технологии статического зондирования и углубление обоснования интерпретационных процедур. Приведённые рекомендации основаны на экспериментальных наблюдениях и позволяют по-новому взглянуть на возможности глубоких и обоснованных интерпретаций результатов статического зондирования для решения сложных геотехнических задач. Следует подчеркнуть, что интерпретация грунтов на основе результатов зондирования может существенно отличаться от оценки грунтов традиционными методами, поскольку реакция зонда зависит от таких факторов как действующие напряжения, особенно эффективные напряжения, история формирования актуального напряжённого состояния массива, т. е. история геологического развития региона, наличие крупных включений, степень водонасыщения грунта, динамика рассеивания порового давления. Это ещё раз подчёркивает значимость основательной подготовки специалиста – интерпретатора на базе знания региональных особенностей геологического разреза, истории геологического развития региона, знания самой технологии зондирования и опыта зондирований в сходных геологических условиях.
Более подробное рассмотрение влияния названных факторов на результаты зондирования будет продолжено в следующей части настоящей статьи.