В работе рассматривается развитие метода послойного суммирования, позволяющего проводить расчет осадок с учетом нелинейности деформирования без применения численных методов. Метод основан на предложении З.Г. Тер-Мартиросяна об учете сдвиговой и объемной составляющей деформации с использованием модулей, соответственно, сдвига и объемного сжатия при расчете методом послойного суммирования.
На основании аналитического решения задачи о распределении компонентов напряжений в грунтовом массиве выполнен расчет объемной и сдвиговой составляющих осадки для загруженных площадей различной конфигурации. Полученное решение сопоставлено с ранее известными аналитическими решениями и с численными расчетом с использованием различных моделей деформирования.
В результате сопоставления расчета по предложенной методике и аналитического решения показано, что предлагаемый метод приближает получаемое решение к точному решению Шлейхера-Польшина. Сопоставление с решением, полученным с применением МКЭ с различными упругопластическими моделями показало, что учет деформации сдвига приближает решение метода послойного суммирования к численному решению без введения дополнительных корреляционных коэффициентов.
Использование полученного нелинейного решения позволяет получить результаты, сопоставимые с результатами численного моделирования при расчете простейших задач фундаментостроения с применением меньшего количества допущений. Дальнейшее развитие метода может позволить уточнить линейные решения, предписываемые на настоящий момент нормативными документами.
Несмотря на широкое распространение численных методов в практике геотехнического проектирования, аналитические решения задач по-прежнему актуальны – именно эти методы расчета осадки и устойчивости основания сооружения хорошо апробированы и являются достаточным обоснованием безопасности и надежности. В частности, метод послойного суммирования (МПС) на протяжении 50 лет является основным рекомендованным методом расчета осадки отдельно стоящих и ленточных фундаментов.
Ограничения аналитических методов хорошо известны: в большинстве случаев расчет не учитывает негоризонтального залегания ИГЭ, а поведение отдельных элементов моделируется на основании теории линейного деформирования. Метод послойного суммирования предполагает, что каждый элементарный слой находится в состоянии компрессионного сжатия, и не испытывает бокового расширения. Это предположение справедливо лишь отчасти, для фундаментов достаточно большой ширины по отношению к сжимаемой толще основания. Анализ напряженного состояния основания даже на основании теории линейно-деформируемой среды показывает, что области роста касательных напряжений хоть и не распространяется на ту же глубину, что нормальные напряжения, но не могут игнорироваться при расчете деформаций.
Профессором З.Г. Тер-Мартиросяном была предложена модификация этого метода, позволяющая учитывать развитие в каждом элементарном слое сдвиговых деформаций. Преимуществом данного метода является возможность учета деформации основания за счет формоизменения – даже при ν = 0,5, то есть при бесконечной объемной жесткости, осадка не будет нулевой за счет деформации сдвига. Помимо этого, использование параметров объемной и сдвиговой жесткости лучше соответствует физическим процессам, протекающим при деформировании скелета грунта (изменению пористости и взаимному смещению частиц). Однако сохраняется и общий недостаток теории линейного деформирования: в пределах одного ИГЭ жесткость не зависит от уровня действующих напряжений, и величина осадки напрямую зависит от выбора мощности сжимаемой толщи.
В качестве логичного дальнейшего шага можно воспользоваться хорошо известной в рамках нелинейной механики грунтов степенной зависимостью жесткости от уровня средних напряжений. Предлагаемая модификация позволит расширить область применения метода послойного суммирования, а также снизит зависимость результата расчета от выбора мощности сжимаемой толщи, так как с увеличением напряжений с глубиной жесткость будет возрастать, и затухание осадки будет происходить быстрее.
В настоящей работе приведены результаты сопоставления решений тестовой задачи различными методами.
По предложению З.Г. Тер-Мартиросяна осадка определялась по двучленной формуле, в которой для каждого элементарного слоя раздельно определялась деформация за счет объемного сжатия, вызванная изменением среднего напряжения, и деформация сдвига, вызванная девиатором напряжений:
Рис. 1. Затухание вертикальных, средних и девиаторных напряжений с глубиной для загруженной площади с различным соотношением сторон
Следует отметить, что, в отличие от вертикального напряжения, горизонтальные напряжения (а, как следствие, и средние) зависят от величины коэффициента относительного поперечного расширения ν. В.А. Флорин указывает [4], что влияние коэффициента поперечного расширения несущественно влияет на значения напряжений, однако это верно только для квадратной загруженной площади. По мере увеличения соотношения l/b влияние увеличивается, и для ленточного фундамента (l/b > 10) расхождение между средними напряжениями при ν = 0,2 и ν = 0,4 достигает 21%.
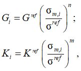
Нелинейность деформирования в предлагаемом методе проще всего учесть путем введения степенной зависимости модулей жесткости от уровня средних напряжений. При этом авторам представляется более корректным использовать независимые показатели степени для сдвига и объемного сжатия – аналогично тому, как это сделано в модели UBCSand и ее модификациях [5–8]:

(2)
где Gref, Kref – опорные значения модулей сдвига и объемного сжатия, соответственно; σref – опорное среднее давление; n, m – степенные показатели.
В отличие от широко распространенной в настоящее время модели Hardening Soil [9, 10], независимые показатели жесткости позволяют учитывать различие физических процессов, влияющих на изменение жесткости грунта при уплотнении. Сдвиговая жесткость обусловлена в первую очередь трением, и в грунтах с бомльшими значениями угла внутреннего трения зависимость будет более сильной. Объемная жесткость определяется пористостью, и для грунтов с плотной упаковкой частиц зависимость будет слабой. Данные степенные показатели могут быть определены по результатам испытаний трехосного и компрессионного сжатия в результате расчета, соответственно, значений параметров сдвиговой и объемной жесткости при различных уровнях средних напряжений и последующей аппроксимации полученных частных значений степенной функцией.
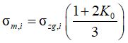
Начальное (бытовое) среднее напряжение σm,i в каждом элементарном слое, необходимое для учета нелинейной жесткости, целесообразно определять на основании бытового вертикального напряжения и величины коэффициента бокового давления в массиве K0. В этом случае в расчете может быть учтено и переуплотненное состояние.

.(3)
Порядок расчета практически не отличается от изложенного в СП 22.13330.2016. После построения эпюр природного и дополнительного давления и определения мощности сжимаемой толщи, вся она разделяется на элементарные слои. В уровне середины каждого слоя рассчитывается величина среднего бытового напряжения уm,i, на основании которого определяется величина модулей сдвига и объемного сжатия. Расчет может быть легко выполнен в табличной форме.
С целью сопоставления различных методов было выполнено три группы расчетов:
Для проверки точности аналитического решения был выполнен строгий расчет для невесомого основания для линейно-упругой среды методом послойного суммирования, методом З.Г. Тер-Мартиросяна и по решению Шлейхера-Польшина [11, 12]. Авторами была рассмотрена задача об осадке в центре загруженной площади шириной 1 м, нагрузка составила 500 кПа. Рассмотрено три случая соотношения сторон – загруженный квадрат, прямоугольник с соотношением сторон l/b = 3,2 и условно бесконечная лента. Нагрузка принята бесконечно гибкой для лучшего соответствия условиям метода послойного суммирования и аналитического решения задачи. Для наглядности рассматривался только случай первичного нагружения, без разгрузки, а сама нагрузка приложена к дневной поверхности массива. Мощность элементарного слоя принята равно 0,2 м.
Мощность сжимаемой толщи в данном случае искусственно не ограничивалась и составила 7 м (дополнительные напряжения от внешней нагрузки на этой глубине не превышают 1,5%).
Инженерный расчет в линейной постановке, учитывающий вес основания и более реалистичные геометрические параметры, выполнялся методом послойного суммирования по СП 22.13330.2016, предлагаемым аналитическим методом и численно в программном комплексе Plaxis. Использовалась линейно-упругая модель, расчет выполнялся методом послойного суммирования, методом З.Г. Тер-Мартиросяна в линейной постановке и численно. Ширина фундамента была принята равной 5 м, глубина заложения также 5 м. Как и для аналитического расчета, рассматривались соотношения сторон l/b = 1, 3,2 и 10. Мощность сжимаемой толщи определялась по методике СП 22.13330.2016 и использовалась для установления нижней границы расчетной модели. Для квадратной загруженной площади она составила 6 м; для прямоугольной – 9 м; для ленты – 10 м. Мощность элементарных слоев принималось равной 0,2b = 1м.
Для проверки учета нелинейности деформирования был выполнен расчет той же задачи предлагаемым нелинейным методом и с применением модели Hardening Soil, использующей аналогичный степенной закон изменения жесткости. Геометрические параметры задачи были приняты аналогично предыдущему варианту расчета.
Для корректного сопоставления результатов расчетов были приняты следующие параметры физико-механических свойств:
Таблица 2. Принятые в расчете параметры физико-механических свойств

Результаты расчета осадки загруженной площади для первого сопоставительного расчета представлены в таблице 3.
Таблица 3. Значения осадки поверхности в центре загруженной площади, полученные аналитическими методами

Сопоставление результатов расчета показывает, что классический метод послойного суммирования (с учетом фактического коэффициента невозможности бокового расширения β = 0,74) занижает осадку относительно аналитического решения Шлейхера-Польшина на 24-37%, в зависимости от соотношения сторон фундамента. Это может объясняться как неточностью исходной предпосылки метода о компрессионном режиме сжатия каждого элементарного слоя, так и неизбежной погрешностью, связанной с дискретизацией непрерывной функции изменения напряжений по глубине. Метод З.Г. Тер-Мартиросяна значительно ближе к аналитическому решению – расхождение составляет от 3 до 15%, причем в сторону завышения расчетной осадки (табл. 4). На основании этого сопоставления можно заключить, что метод З.Г. Тер-Мартиросяна больше соответствует фактическому НДС в линейно-упругой среде, однако не учитывает, что интенсивность девиаторной составляющей напряжений в пределах одного элементарного слоя по ширине неодинакова, что и приводит к завышению деформации.
Второй расчет, демонстрирующий практическую реализацию инженерного метода в линейной постановке, учитывал вес основания и более реалистичные геометрические параметры. Результаты расчета приведены в таблице 4.
Таблица 4. Значения осадки поверхности, м, в центре загруженной площади, полученные инженерными и численными методами в линейной постановке

Для предлагаемого нелинейного метода начальные значения модулей приняты по таблице 2, а степенной коэффициент m = n = 0,5. Как и в случае МПС, из компонент напряжений от внешней нагрузки σp вычитались соответствующие компоненты бытовых напряжений σg.
В связи с тем, что в численном расчете для устойчивости решения потребовалось ввести ненулевое значение сцепления, третий сопоставительный расчет был выполнен в двух вариантах – с учетом и без учета давления связности в степенном законе жесткости [9]. Из таблицы 5 видно, что в случае учета давления связности результат расчета практически совпадает с нелинейным численным расчетом.
Таблица 5. Значения осадки поверхности в центре загруженной площади, полученные инженерными и численными методами

В качестве дальнейшего развития метода можно учесть и разгрузку дна котлована. При этом опорное давление pref, при котором приняты опорные значения модулей G и К, должно быть не меньше, чем вертикальное бытовое давление σzg в уровне дна котлована. В этом случае до достижения данного уровня нагрузки все модули принимаются постоянными величинами, а при превышении его начнут возрастать.
В результате сопоставления результатов расчета аналитическими и численными методами в линейно-упругой и нелинейной постановках установлено, что учет сдвиговой деформации наиболее принципиален для фундаментов небольшой ширины. По мере увеличения ширины загруженной площади режим работы каждого элементарного слоя приближается к компрессионному сжатию, и сдвиговая составляющая деформации не вносит существенного вклада в общую осадку, так как размер зон сдвига уменьшается относительно области компрессионного сжатия.
Учет нелинейного изменения жесткости с глубиной уточняет значение осадки и приближает результат расчета к результатам численного моделирования с применением нелинейной модели. При этом результат может быть получен в простой табличной форме без применения специализированного программного обеспечения.
Расхождение предложенного метода в линейной постановке с точным решением Шлейхера-Польшина составляет от 3 до 15%, в то время как для классического МПС – от 24 до 37%, что доказывает корректность выполненных вычислений и полученных значений коэффициентов. В нелинейной постановке метод дает результаты расчета осадки, приближенные к численному решению, и большие, чем МПС, так как учитывает развитие сдвиговых деформаций. Однако учет нелинейной жесткости грунтов приводит к более реалистичной оценке деформации основания.
Предложенный модифицированный метод нелинейного инженерного расчета осадки позволяет: